| 查看: 786 | 回复: 1 | ||
[求助]
求问Bassani 和Wu,1991的晶格硬化模型中的各参数是如何得出的
|
|
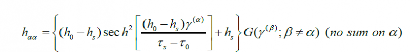
如图中的公式,想知道h0(初始硬化模量),hs(简单滑动过程中的硬化模量),taus(大的塑性流动发生时的突破应力),tau0(初始临界剪切应力)的值是怎么来的,看到很多文献都是说实验数据得来的,不知道用的是什么实验,我也正在看相关文献,有知道的望不吝赐教啊~~~拜谢各位!!! bw777h2839820_1418959045_226.png |
» 猜你喜欢
售SCI一区文章,我:8 O5 51O 54,科目齐全,可+急
已经有7人回复
售SCI一区文章,我:8 O5 51O 54,科目齐全,可+急
已经有10人回复
售SCI一区文章,我:8 O5 51O 54,科目齐全,可+急
已经有4人回复
售SCI一区文章,我:8 O5 51O 54,科目齐全,可+急
已经有7人回复
售SCI一区文章,我:8 O5 51O 54,科目齐全,可+急
已经有6人回复
售SCI一区文章,我:8 O5 51O 54,科目齐全,可+急
已经有6人回复
版面费该交吗
已经有8人回复
售SCI一区文章,我:8 O5 51O 54,科目齐全,可+急
已经有3人回复
基金正文30页指的是报告正文还是整个申请书
已经有6人回复
面上可以超过30页吧?
已经有4人回复
2楼2018-11-11 08:06:17













回复此楼