| 查看: 835 | 回复: 2 | |
[求助]
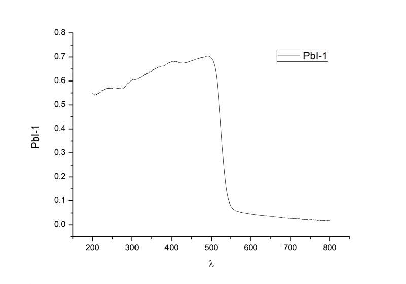
UV紫外积分球 吸收带 过宽 如何解决
|
|
|
|
|
|
2楼2014-12-27 21:33:15
|
|
|
3楼2015-01-27 16:26:29
|
|













回复此楼
5