24小时热门版块排行榜    

查看: 926  |  回复: 0

luckyboyyt

木虫 (文坛精英)


[求助] matlab提示“explicit integral could not be found.”求指点

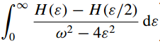
要求解的式子见图片。


%---------------式子中的常数------------------
f=[1:0.5:2.5]
w=2*pi*f*10^12

kb=1.3806505*10^-23
T=300
h=6.62606896*10^-34/(2*pi)

e=1.602176462*10^-19
Ef=0.452*e


%------------------积分函数-----------------------
syms x
H=@(x)sinh(h.*x./(kb*T))./(cosh(Ef/(kb*T))+cosh(h.*x./(kb*T)))

C=H(x)
D=H(x./2)
E=(C-D)./(w.^2-4.*x.^2)
F=int(E,0,inf)

结果解不出来,提示“Warning: Explicit integral could not be found.”求高人指点!谢谢

matlab提示“explicit integral could not be found.”求指点
QQ截图20141210163402.png


matlab提示“explicit integral could not be found.”求指点-1
QQ截图20141210163430.png
回复此楼

» 猜你喜欢

已阅   回复此楼   关注TA 给TA发消息 送TA红花 TA的回帖

智能机器人

Robot (super robot)

我们都爱小木虫

找到一些相关的精华帖子,希望有用哦~

科研从小木虫开始,人人为我,我为人人
相关版块跳转 我要订阅楼主 luckyboyyt 的主题更新
最具人气热帖推荐 [查看全部] 作者 回/看 最后发表
[考研] 本人考085602 化学工程 专硕 +18 不知道叫什么! 2026-03-15 20/1000 2026-03-20 13:52 by danney002
[考研] 一志愿武汉理工材料工程专硕调剂 +7 Doleres 2026-03-19 7/350 2026-03-20 10:39 by EBSD
[考研] 320求调剂0856 +3 不想起名字112 2026-03-19 3/150 2026-03-19 22:53 by 学员8dgXkO
[考博] 东华理工大学化材专业26届硕士博士申请 +8 zlingli 2026-03-13 8/400 2026-03-19 16:32 by 轻松不少随
[考研] 085601材料工程专硕求调剂 +10 慕寒mio 2026-03-16 10/500 2026-03-19 15:26 by 丁丁*
[考研] 一志愿西安交通大学材料工程专业 282分求调剂 +5 枫桥ZL 2026-03-18 7/350 2026-03-19 14:52 by 功夫疯狂
[考研] 324分 085600材料化工求调剂 +3 llllkkkhh 2026-03-18 3/150 2026-03-19 14:22 by houyaoxu
[考研] 求调剂,一志愿:南京航空航天大学大学 ,080500材料科学与工程学硕,总分289分 +3 @taotao 2026-03-19 3/150 2026-03-19 14:07 by peike
[考研] 287求调剂 +3 晨昏线与星海 2026-03-19 4/200 2026-03-19 12:32 by peike
[考研] 本科郑州大学物理学院,一志愿华科070200学硕,346求调剂 +4 我不是一根葱 2026-03-18 4/200 2026-03-19 09:11 by 浮云166
[考研] 328求调剂,英语六级551,有科研经历 +3 生物工程调剂 2026-03-17 7/350 2026-03-18 20:41 by Wangjingyue
[考研] 0703化学调剂 +3 妮妮ninicgb 2026-03-17 3/150 2026-03-18 10:29 by macy2011
[考研] 326求调剂 +5 上岸的小葡 2026-03-15 6/300 2026-03-17 17:26 by ruiyingmiao
[考博] 26申博 +4 八6八68 2026-03-16 4/200 2026-03-17 13:00 by 轻松不少随
[考研] 283求调剂 +3 听风就是雨; 2026-03-16 3/150 2026-03-17 07:41 by 热情沙漠
[考研] 机械专硕325,寻找调剂院校 +3 y9999 2026-03-15 5/250 2026-03-16 19:58 by y9999
[基金申请] 今年的国基金是打分制吗? 50+3 zhanghaozhu 2026-03-14 3/150 2026-03-16 17:07 by 北京莱茵润色
[考研] 一志愿211 0703方向310分求调剂 +3 努力奋斗112 2026-03-15 3/150 2026-03-16 16:44 by houyaoxu
[考研] 080500,材料学硕302分求调剂学校 +4 初识可乐 2026-03-14 5/250 2026-03-14 21:08 by peike
[考研] 招收0805(材料)调剂 +3 18595523086 2026-03-13 3/150 2026-03-14 00:33 by 123%、
信息提示
请填处理意见