| ²é¿´: 1466 | »Ø¸´: 5 | ||
824245489гæ (ÕýʽдÊÖ)
|
[ÇóÖú]
µç»¯Ñ§½¨Ä£ ÒÑÓÐ2È˲ÎÓë
|
|
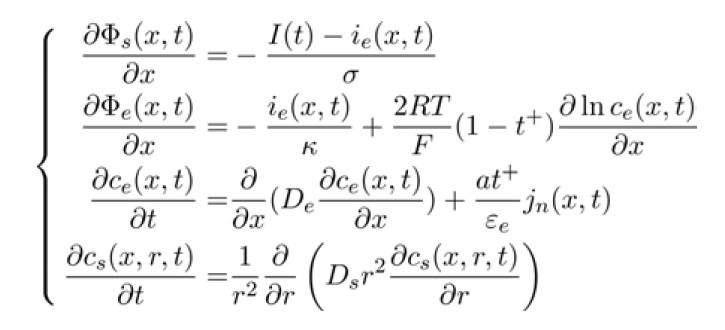
×î½ü×öµÄ·½ÏòÊÇï®µç³Øµç»¯Ñ§½¨Ä££¬¿´ÁËһЩÂÛÎÄÍ·ºÃ´ó£¬¶¼ÊÇһЩ·ÇÏßÐÔ·½³Ì£¬ñîºÏÐÔÒ²ºÜÇ¿£¬±ÈÈ總¼þͼÖз½³Ìʽ£¬ÔõôÔÚmatlabÀïÃæ½¨Á¢Ä£ÐͽøÐзÂտĨ£¿»òÕßÓÃÆäËû·ÂÕæÈí¼þ£¿ ¹«Ê½.JPG |
» ²ÂÄãϲ»¶
Çóµ÷¼Á£¬±¾¿Æ¼ª´ó£¬Ò»Ö¾Ô¸»ª¹¤339
ÒѾÓÐ2È˻ظ´
Òâ´óÀû²©ÂåÄáÑÇ´óѧÕÐÆ¸Ñо¿ÖúÀí2Ãû£¨2D²ÄÁÏ/ï®Àë×ÓÓëÄÆÀë×Óµç³Ø·½Ïò£©
ÒѾÓÐ1È˻ظ´
·ÖÎö»¯Ñ§ÂÛÎÄÈóÉ«/·ÒëÔõôÊÕ·Ñ?
ÒѾÓÐ237È˻ظ´
¹ØÓÚ̼Á¿×ӵ㿹¾úµÄÑо¿
ÒѾÓÐ15È˻ظ´
ÄÏ´ó»¯Ñ§µ÷¼Á
ÒѾÓÐ11È˻ظ´
ÁòËáÄÆÈÜҺŨ¶ÈÓëÃܶÈÇúÏß
ÒѾÓÐ0È˻ظ´
0703µ÷¼Á
ÒѾÓÐ2È˻ظ´
1
ÒѾÓÐ14È˻ظ´
0703 µ÷¼Á
ÒѾÓÐ4È˻ظ´
ÕÐÊÕ
ÒѾÓÐ0È˻ظ´
dong-long
Ìú¸Ëľ³æ (Ö°Òµ×÷¼Ò)
- Ó¦Öú: 308 (´óѧÉú)
- ½ð±Ò: 10310.8
- É¢½ð: 2740
- ºì»¨: 45
- ɳ·¢: 1
- Ìû×Ó: 3727
- ÔÚÏß: 3115.7Сʱ
- ³æºÅ: 1883380
- ×¢²á: 2012-07-08
- ÐÔ±ð: GG
- רҵ: »¯Ê¯ÄÜÔ´´¢´æÓëÊäËÍ
¡¾´ð°¸¡¿Ó¦Öú»ØÌû
¡ï ¡ï ¡ï ¡ï ¡ï
¸Ðл²ÎÓ룬ӦÖúÖ¸Êý +1
824245489: ½ð±Ò+5, ¡ï¡ï¡ïºÜÓаïÖú, лл£¡~ 2014-12-09 06:47:33
¸Ðл²ÎÓ룬ӦÖúÖ¸Êý +1
824245489: ½ð±Ò+5, ¡ï¡ï¡ïºÜÓаïÖú, лл£¡~ 2014-12-09 06:47:33
| ¿ÉÒÔѧϰһÏÂcomsolÈí¼þ£¬ÀïÃæÓÐµç³ØÄ£¿é¡£ |

2Â¥2014-12-08 19:17:37
xiaoping2012
Òø³æ (ÖøÃûдÊÖ)
- Ó¦Öú: 2 (Ó×¶ùÔ°)
- ½ð±Ò: 1061.7
- É¢½ð: 200
- ºì»¨: 1
- Ìû×Ó: 1243
- ÔÚÏß: 293.4Сʱ
- ³æºÅ: 1893618
- ×¢²á: 2012-07-15
- רҵ: µçÁ¦µç×Óѧ

3Â¥2015-07-17 12:22:23
dengzhongw
ͳæ (СÓÐÃûÆø)
- Ó¦Öú: 0 (Ó×¶ùÔ°)
- ½ð±Ò: 709.9
- É¢½ð: 220
- ºì»¨: 1
- Ìû×Ó: 61
- ÔÚÏß: 23.9Сʱ
- ³æºÅ: 3514379
- ×¢²á: 2014-11-02
- ÐÔ±ð: GG
- רҵ: µçÄÜ´¢´æÓë½Úµç¼¼Êõ

4Â¥2016-03-29 19:04:29
Сľľ¶ÁÊé
½û³æ (³õÈëÎÄ̳)
|
±¾ÌûÄÚÈݱ»ÆÁ±Î |
5Â¥2020-01-09 10:17:29
Сľľ¶ÁÊé
½û³æ (³õÈëÎÄ̳)
|
±¾ÌûÄÚÈݱ»ÆÁ±Î |
6Â¥2020-01-09 10:18:52













»Ø¸´´ËÂ¥