| 查看: 382 | 回复: 2 | ||
[求助]
现遇到课题棘手问题,请大家帮忙指点。不胜感激 已有1人参与
|
|
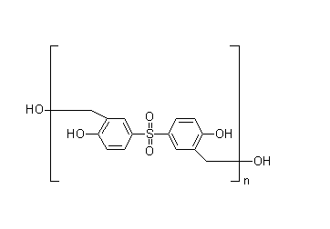
下图分子名称是砜醛树脂,是一种水溶性高分子材料,如果用在纺织助剂中,可以作为哪种纺织助剂呢? 从分子结构上分析它具有哪些相关的助剂性能呢?是非离子表面活性剂吗?恳请在行的朋友们多多建议 2345截图20141208100113.png |
» 猜你喜欢
08工学调剂
已经有17人回复
340求调剂
已经有4人回复
311求调剂
已经有3人回复
0805 316求调剂
已经有5人回复
食品专硕 一志愿双一流 328
已经有4人回复
材料调剂
已经有6人回复
300分,材料,求调剂,英一数二
已经有5人回复
求调剂,一志愿:南京航空航天大学大学 ,080500材料科学与工程学硕,总分289分
已经有5人回复
085600材料与化工调剂
已经有13人回复
材料与化工考研调剂
已经有7人回复
» 本主题相关商家推荐: (我也要在这里推广)
» 本主题相关价值贴推荐,对您同样有帮助:
谁有2014和2013年上海交大的科研基金情况,小的不胜感激!50金币聊表寸心~~
已经有7人回复
求大侠把句子搞简单一点,能表达意思就可以了,不胜感激涕零!
已经有4人回复
什么是配有干燥管的滴液漏斗,哪位大虾传张图片来啊,不胜感激!
已经有3人回复
zengke328
银虫 (小有名气)
- 应助: 3 (幼儿园)
- 金币: 585.8
- 散金: 100
- 帖子: 58
- 在线: 41.9小时
- 虫号: 2366641
- 注册: 2013-03-21
- 性别: GG
- 专业: 应用有机化学

2楼2014-12-25 10:40:45
苕面窝
至尊木虫 (文坛精英)
涂料助剂-分散\消泡\流平
- FC-EPI: 17
- 应助: 18 (小学生)
- 贵宾: 0.622
- 金币: 11871
- 散金: 7208
- 红花: 110
- 沙发: 141
- 帖子: 10687
- 在线: 1990.9小时
- 虫号: 956090
- 注册: 2010-02-18
- 性别: GG
- 专业: 面窝制模、成型、加工

3楼2014-12-25 13:38:01













回复此楼
