版块导航
正在加载中...
客户端APP下载
登录
注册
帖子
帖子
用户
本版
应《网络安全法》要求,自2017年10月1日起,未进行实名认证将不得使用互联网跟帖服务。为保障您的帐号能够正常使用,请尽快对帐号进行手机号验证,感谢您的理解与支持!
24小时热门版块排行榜
>
论坛更新日志
(1831)
>
虫友互识
(98)
>
休闲灌水
(48)
>
导师招生
(42)
>
仿真模拟
(28)
>
基金申请
(22)
>
文献求助
(20)
>
硕博家园
(16)
>
考博
(14)
>
论文投稿
(14)
>
找工作
(12)
>
考研
(11)
>
博后之家
(10)
>
论文道贺祈福
(9)
>
公派出国
(9)
>
教师之家
(8)
小木虫论坛-学术科研互动平台
»
专业学科区
»
数学
»
概率论与统计
»
请教大神一个数字特征的问题···
5
1/1
返回列表
查看: 458 | 回复: 4
只看楼主
@他人
存档
新回复提醒
(忽略)
收藏
在APP中查看
风0001
铁虫
(正式写手)
应助: 0
(幼儿园)
金币: 879.6
散金: 20
红花: 1
帖子: 307
在线: 80.1小时
虫号: 2202826
注册: 2012-12-24
性别: GG
专业: 结构工程
[
求助
]
请教大神一个数字特征的问题···
已有1人参与
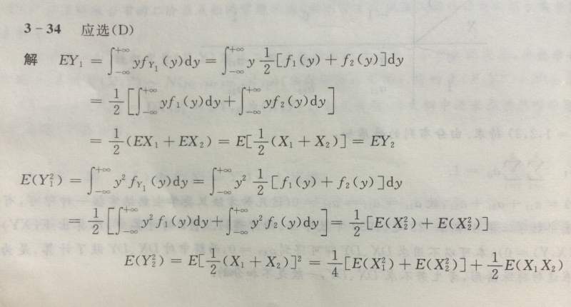
请教大神一个问题:
答案解析中有一步不理解,那个用红笔划的部分…为何连续变量就不可能X1=X2?
敬请帮助···
回复此楼
» 猜你喜欢
26/27申博自荐
已经有10人回复
东北林业大学材料科学与工程学院“一流”A+学科国家级人才团队课题组招收2026级博士生
已经有3人回复
医学类期刊求推荐
已经有5人回复
生活琐事由它去
已经有4人回复
提交了我也来说说感想
已经有12人回复
青B发送上会通知了吗
已经有9人回复
西安交大新媒学院副院长用撤稿论文结题
已经有6人回复
论文撤稿了
已经有8人回复
化学专业申博
已经有4人回复
某211大学教师把个人教师官方主页改成:我跑了我跑了我跑了!官宣跑路!
已经有5人回复
» 本主题相关价值贴推荐,对您同样有帮助:
请教大神们一个问题————一位即将毕业的小硕
已经有6人回复
请教各位大神一个问题,很急!!!担心家里人被骗,谢谢
已经有19人回复
有大神在吗= =请教一道谱图的题目。。
已经有3人回复
请教大神2-Chloro-[1,3,2]oxazaphosphinane 2-oxide
已经有3人回复
请教大神如何看文献
已经有9人回复
请教各位大神,如何算出区分不同元素的能带结构?
已经有7人回复
求助大神们,跑出这种图是什么问题?
已经有15人回复
请教大神一个算是有点基础的问题,化学式的名称,谢谢
已经有4人回复
请教一下大神们关于fluent中UDF的问题,谢谢!
已经有3人回复
请教各位大神一个石墨烯制备中的问题,困惑我挺久了
已经有4人回复
各位大神有木有做聚(β-氨基酯)的,向您请教个问题……
已经有3人回复
最后一波请教植物领域的大神再帮我辨别一下这些植物名称,万分感谢啦!
已经有18人回复
求助高分子的大神解释一个简单问题,希望能用专业的语言解答!
已经有14人回复
请教各位大神关于氯磺酸的问题
已经有6人回复
请教大神关于嘧啶胺的问题
已经有3人回复
各位大神,请教下关于抗肿瘤药物机制研究的问题。
已经有5人回复
请教各位大神关于软件版权的问题~~~~~
已经有7人回复
文章的合作作者问题,请教大神们!
已经有19人回复
请教大神关于偏光显微镜的一个问题。
已经有6人回复
真心请教各位大神关于维生素B1成盐的问题!!!!
已经有6人回复
请教VSM测试问题,各位大神请指教。
已经有8人回复
求教一个origin中的问题,求大神指点
已经有4人回复
1楼
2014-12-02 23:10:19
已阅
回复此楼
关注TA
给TA发消息
送TA红花
TA的回帖
zaq123321
专家顾问
(著名写手)
专家经验: +343
数学EPI: 6
应助: 298
(大学生)
贵宾: 0.247
金币: 10791.3
散金: 280
红花: 29
帖子: 1223
在线: 539.9小时
虫号: 405284
注册: 2007-06-17
性别:
MM
专业: 生物大分子结构与功能
管辖:
数学
【答案】应助回帖
★ ★
感谢参与,应助指数 +1
风0001(feixiaolin代发): 金币+2
2014-12-04 20:30:36
Your understanding is correct. The question is not that strict, or is problematic. X1 can be equal to X2.
[ 发自手机版 http://muchong.com/3g ]
赞
一下
回复此楼
小木虫给我温暖,给我希望,爱就要爱小木虫。
2楼
2014-12-03 00:13:15
已阅
回复此楼
关注TA
给TA发消息
送TA红花
TA的回帖
zaq123321
专家顾问
(著名写手)
专家经验: +343
数学EPI: 6
应助: 298
(大学生)
贵宾: 0.247
金币: 10791.3
散金: 280
红花: 29
帖子: 1223
在线: 539.9小时
虫号: 405284
注册: 2007-06-17
性别:
MM
专业: 生物大分子结构与功能
管辖:
数学
【答案】应助回帖
D. Should be DY1>= DY2
[ 发自手机版 http://muchong.com/3g ]
赞
一下
回复此楼
小木虫给我温暖,给我希望,爱就要爱小木虫。
3楼
2014-12-03 00:14:09
已阅
回复此楼
关注TA
给TA发消息
送TA红花
TA的回帖
风0001
铁虫
(正式写手)
应助: 0
(幼儿园)
金币: 879.6
散金: 20
红花: 1
帖子: 307
在线: 80.1小时
虫号: 2202826
注册: 2012-12-24
性别: GG
专业: 结构工程
引用回帖:
3楼
:
Originally posted by
zaq123321
at 2014-12-03 00:14:09
D. Should be DY1>= DY2
Are you sure?? This is a examination question of GCT```
赞
一下
回复此楼
4楼
2014-12-03 22:01:21
已阅
回复此楼
关注TA
给TA发消息
送TA红花
TA的回帖
zaq123321
专家顾问
(著名写手)
专家经验: +343
数学EPI: 6
应助: 298
(大学生)
贵宾: 0.247
金币: 10791.3
散金: 280
红花: 29
帖子: 1223
在线: 539.9小时
虫号: 405284
注册: 2007-06-17
性别:
MM
专业: 生物大分子结构与功能
管辖:
数学
【答案】应助回帖
引用回帖:
4楼
:
Originally posted by
风0001
at 2014-12-03 22:01:21
Are you sure?? This is a examination question of GCT```...
I am sure since there is no reason to refuse X1=X2. Maybe ask some faculties in university.
赞
一下
回复此楼
小木虫给我温暖,给我希望,爱就要爱小木虫。
5楼
2014-12-04 02:01:21
已阅
回复此楼
关注TA
给TA发消息
送TA红花
TA的回帖
相关版块跳转
数理科学综合
机械
物理
数学
农林
食品
地学
能源
信息科学
土木建筑
航空航天
转基因
我要订阅楼主
风0001
的主题更新
5
1/1
返回列表
如果回帖内容含有宣传信息,请如实选中。否则帐号将被全论坛禁言
普通表情
龙
兔
虎
猫
百度网盘
|
360云盘
|
千易网盘
|
华为网盘
在新窗口页面中打开自己喜欢的网盘网站,将文件上传后,然后将下载链接复制到帖子内容中就可以了。
信息提示
关闭
请填处理意见
关闭
确定