| 查看: 1104 | 回复: 2 | ||
[求助]
石墨烯场效应管仿真输出特性曲线问题 已有1人参与
|
|
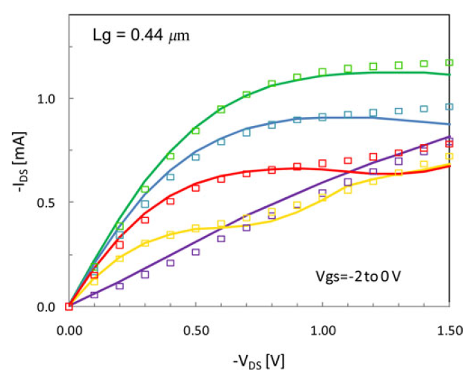
求问大神,用开源软件Nano TCAD软件仿真石墨烯场效应管,栅长为50nm,没有掺杂,为何文献上的输出特性与MOSFET较为相像,而我仿真的结果在栅压不等的情况下,结果相差不大,且曲线类型也不一致?万分感谢!! 我的仿真结果(输出特性曲线).png 文献中的结果.png |
» 猜你喜欢
温州大学王娟课题组2026年招生
已经有10人回复
温州大学2026年招生(化学、材料)
已经有10人回复
无机化学论文润色/翻译怎么收费?
已经有115人回复
招生负责_院士团队_学生高自由度成长_擅长学生培养
已经有5人回复
温州大学招收2026年入学博士研究生(化学、材料、环境)
已经有10人回复
非晶合金
已经有2人回复
院士团队-每届学生都优秀-高自由度-团队氛围好
已经有0人回复
求调剂
已经有3人回复
化工学院(学院正式调剂群+联系方式)
已经有0人回复
化工学院(学院官方群)-院士团队招生-学生自由度高-培养模式成熟高效
已经有0人回复
黑龙江大学分析化学招调剂
已经有0人回复
» 本主题相关商家推荐: (我也要在这里推广)
» 本主题相关价值贴推荐,对您同样有帮助:
为什么场效应管的输出特性曲线是条直线??
已经有7人回复
微纳米领域I-V曲线一般是怎么测的?
已经有10人回复
石墨烯场效应晶体管中栅压怎样调节电子浓度
已经有5人回复
石墨烯场效应管(GFET)氧化层电容是算顶栅的还是算背栅的?
已经有12人回复
石墨烯场效应管极性问题
已经有5人回复
如何测量石墨烯场效应管的V型曲线
已经有5人回复
2楼2014-12-03 10:00:46
bilvqing108
新虫 (初入文坛)
- 应助: 1 (幼儿园)
- 金币: 33.1
- 帖子: 24
- 在线: 15.2小时
- 虫号: 220823
- 注册: 2006-03-20
- 性别: GG
- 专业: 半导体光电子器件
3楼2015-12-05 20:04:53













回复此楼