| 查看: 514 | 回复: 1 | ||
[求助]
美洛培南侧链合成工艺及其产率 已有1人参与
|
|
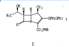
具体化合物请看图,求给出,该化合物的合成工艺及产率,最好有参考文献表述。结构与图上一致。物质为(1R,5R,6S)-2-(二苯氧基磷酰氧基)-6-[(R)-1-羟乙基]-1-甲基碳青霉-2-烯-3-羧酸对硝基苄酯。如果有相应的生产厂家的话,也可以直接报厂方的生产价格。 123456.png |
» 猜你喜欢
售SCI一区文章,我:8 O5 51O 54,科目齐全
已经有6人回复
售SCI一区文章,我:8 O5 51O 54,科目齐全
已经有6人回复
售SCI一区文章,我:8 O5 51O 54,科目齐全
已经有7人回复
售SCI一区文章,我:8 O5 51O 54,科目齐全
已经有7人回复
售SCI一区文章,我:8 O5 51O 54,科目齐全
已经有7人回复
售SCI一区文章,我:8 O5 51O 54,科目齐全
已经有8人回复
售SCI一区文章,我:8 O5 51O 54,科目齐全
已经有8人回复
售SCI一区文章,我:8 O5 51O 54,科目齐全
已经有8人回复
售SCI一区文章,我:8 O5 51O 54,科目齐全
已经有8人回复
博士延得我,科研能力直往上蹿
已经有8人回复
zhangsheng6687
银虫 (著名写手)
- 应助: 43 (小学生)
- 金币: 267.6
- 红花: 7
- 帖子: 1009
- 在线: 175.4小时
- 虫号: 739655
- 注册: 2009-04-03
- 性别: GG
- 专业: 有机合成

2楼2014-12-03 08:26:09













回复此楼
10