| ²é¿´: 836 | »Ø¸´: 5 | |||
ÎÒÒª·ÉÌú³æ (ÕýʽдÊÖ)
|
[ÇóÖú]
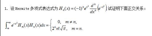
Õý½»ÐÔÖ¤Ã÷ ÒÑÓÐ2È˲ÎÓë
|
||
|
|
|||
feixiaolinÈÙÓþ°æÖ÷ (ÎÄ̳¾«Ó¢)
|
|||
|
2Â¥2014-12-01 10:37:25
|
|
||
lsp1005ľ³æ (ÕýʽдÊÖ)
|
|||
![]() |
|||
|
3Â¥2014-12-01 10:45:13
|
|
||
ÎÒÒª·ÉÌú³æ (ÕýʽдÊÖ)
|
|||
|
4Â¥2014-12-01 10:58:55
|
|
||
ÎÒÒª·ÉÌú³æ (ÕýʽдÊÖ)
|
|||
|
5Â¥2014-12-01 10:59:35
|
|
||
ÖÕ̫֮µ¶¡ªÏþÌú¸Ëľ³æ (ÖøÃûдÊÖ)
Êýѧ°®ºÃÕß
|
¡¾´ð°¸¡¿Ó¦Öú»ØÌû
¸Ðл²ÎÓ룬ӦÖúÖ¸Êý +1
» ±¾Ìû¸½¼þ×ÊÔ´Áбí
2014-12-01 13:05:02, 13.34 M
|
||
![]() |
|||
|
6Â¥2014-12-01 13:08:05
|
|













»Ø¸´´ËÂ¥
