| 查看: 330 | 回复: 3 | |||
[求助]
积分的问题 已有2人参与
|
|
点击[http://pinyin.cn/10SQdXLHdXE] 查看这张图片。[访问验证码是:432790请妥善保管] [ 发自手机版 http://muchong.com/3g ] 5DE96D6B177BECBD.jpg [ Last edited by feixiaolin on 2014-11-28 at 10:43 ] |
» 猜你喜欢
面上可以超过30页吧?
已经有7人回复
网上报道青年教师午睡中猝死、熬夜猝死的越来越多,主要哪些原因引起的?
已经有5人回复
“人文社科而论,许多学术研究还没有达到民国时期的水平”
已经有6人回复
体制内长辈说体制内绝大部分一辈子在底层,如同你们一样大部分普通教师忙且收入低
已经有16人回复
版面费该交吗
已经有13人回复
为什么中国大学工科教授们水了那么多所谓的顶会顶刊,但还是做不出宇树机器人?
已经有10人回复
什么是人一生最重要的?
已经有4人回复
终之太刀—晓
铁杆木虫 (著名写手)
数学爱好者
- 数学EPI: 7
- 应助: 282 (大学生)
- 贵宾: 0.018
- 金币: 2934.2
- 散金: 5589
- 红花: 53
- 帖子: 1809
- 在线: 401.6小时
- 虫号: 3469007
- 注册: 2014-10-12
- 性别: MM
- 专业: 偏微分方程

2楼2014-11-28 11:35:04
feixiaolin
荣誉版主 (文坛精英)
-

专家经验: +518 - 应助: 942 (博后)
- 贵宾: 1.275
- 金币: 3430
- 散金: 58785
- 红花: 532
- 沙发: 11
- 帖子: 24215
- 在线: 2601.8小时
- 虫号: 2139575
- 注册: 2012-11-21
- 专业: 光学信息获取与处理
- 管辖: 数学
3楼2014-11-28 11:58:40
peterflyer
木虫之王 (文学泰斗)
peterflyer
- 数学EPI: 10
- 应助: 20282 (院士)
- 金币: 146067
- 红花: 1374
- 帖子: 93091
- 在线: 7694.3小时
- 虫号: 1482829
- 注册: 2011-11-08
- 性别: GG
- 专业: 功能陶瓷
【答案】应助回帖
★ ★
feixiaolin: 金币+2 2014-11-28 13:32:46
feixiaolin: 金币+2 2014-11-28 13:32:46
|
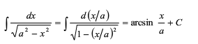
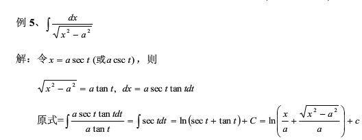
肯定不对!常数和被积变量是不能够互换的。 实际上,对于不定积分Integral{sqrt(x^2-a^2)*dx},令x=a/Cost, 并且假设:0≤t≤π/2,a>0,则有: Integral{sqrt(x^2-a^2)*dx} =Integral{sqrt(a^2/[Cost]^2-a^2)*a*Sint/[Cost]^2*dt} =Integral{a*tgt*a*Sint/[Cost]^2*dt} =a^2*Integral{[Sint]^2/[Cost]^3*dt} 再令u=tg(t/2), 则t=2*Arctgu,dt=2*du/(1+u^2) 故Sint=2*tg(t/2)*[Cos(t/2)]^2=2*u*1/(1+u^2)=2*u/(1+u^2) Cost=2*[Cos(t/2)]^2-1=2/(1+u^2)-1=(1-u^2)/(1+u^2) 将这些代入前式,得到: Integral{[Sint]^2/[Cost]^3*dt} =Integral{[4*u^2*(1-u^2)^3/[1+u^2]]^5*2*du/(1+u^2)} =8*Integral{[u^2*(1-u^2)^3*du/[1+u^2]]^6} 这是一个有理分式的积分,这个是已经解决了的问题,具体参见任意一本高等数学教科书。 |
4楼2014-11-28 13:00:54













回复此楼