| ²é¿´: 1986 | »Ø¸´: 7 | ||
caocsuͳæ (³õÈëÎÄ̳)
|
[ÇóÖú]
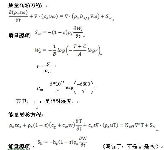
·½³ÌµÄÄÜÁ¿Ô´ÏîºÍÖÊÁ¿Ô´ÏîÖк¬ÓÐÆ«µ¼ÊýÐÎʽ£¬ÈçºÎ±àдËüÃǵÄUDÎļþ£¿
|
|
![]() |
||
|
|
||
caocsuͳæ (³õÈëÎÄ̳)
|
||
![]() |
||
|
2Â¥2014-11-27 09:51:40
|
|
|
caocsuͳæ (³õÈëÎÄ̳)
|
||
![]() |
||
|
3Â¥2014-11-27 16:00:04
|
|
|
caocsuͳæ (³õÈëÎÄ̳)
|
||
![]() |
||
|
4Â¥2014-11-27 16:01:06
|
|
|
rzg712гæ (³õÈëÎÄ̳)
|
||
|
5Â¥2014-12-21 15:28:59
|
|
|
|
||
|
6Â¥2016-07-04 14:34:49
|
|
|
ÎâäÙ°ïгæ (³õÈëÎÄ̳)
|
||
|
7Â¥2018-11-12 14:58:13
|
|
|
ghl09013Ìú³æ (СÓÐÃûÆø)
|
||
|
8Â¥2019-04-30 20:38:57
|
|














»Ø¸´´ËÂ¥
