| 查看: 1071 | 回复: 3 | ||
[求助]
孔径分布图 已有1人参与
|
|
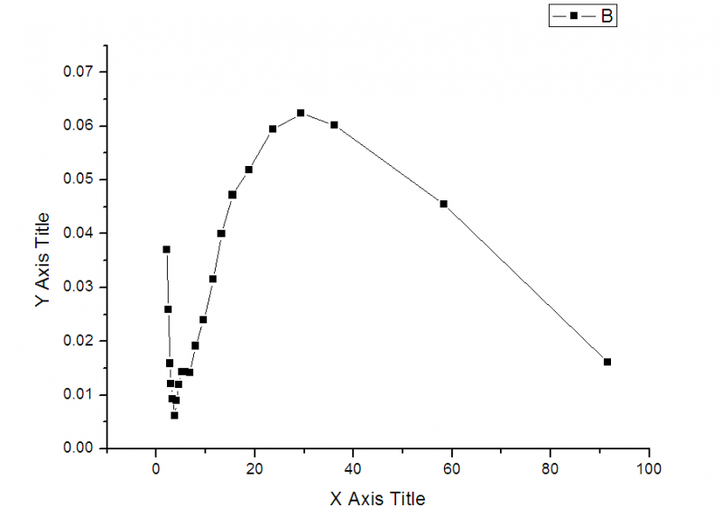
第一次测比表面积,好多问题不懂,比如这个是吸附支以Pore Width (nm)为横坐标, dV/dlog(w) Pore Volume (cm?g)为纵坐标,做的孔径分布图。测试报告中吸附支BJH Adsorption average pore width (4V/A): 9.4789 nm ,这个怎么理解呢???急求啊?? 6QOJQQYB)7X1[@IJYJI0}]6.png |
» 猜你喜欢
温州大学2026年招生(化学、材料)
已经有10人回复
招生负责_院士团队_学生高自由度成长_擅长学生培养
已经有5人回复
无机化学论文润色/翻译怎么收费?
已经有86人回复
温州大学招收2026年入学博士研究生(化学、材料、环境)
已经有10人回复
非晶合金
已经有2人回复
院士团队-每届学生都优秀-高自由度-团队氛围好
已经有0人回复
求调剂
已经有3人回复
化工学院(学院正式调剂群+联系方式)
已经有0人回复
化工学院(学院官方群)-院士团队招生-学生自由度高-培养模式成熟高效
已经有0人回复
黑龙江大学分析化学招调剂
已经有0人回复
武汉高校国家级人才团队招收材料,化学,纺织等专业硕士调剂生
已经有8人回复
上官小仙
木虫 (著名写手)
前世今生
- 应助: 291 (大学生)
- 贵宾: 0.038
- 金币: 4190.1
- 散金: 2000
- 红花: 94
- 帖子: 1334
- 在线: 187.1小时
- 虫号: 1730712
- 注册: 2012-04-01
- 性别: GG
- 专业: 电机与电器

2楼2014-11-26 10:45:28
3楼2014-11-27 10:15:07
上官小仙
木虫 (著名写手)
前世今生
- 应助: 291 (大学生)
- 贵宾: 0.038
- 金币: 4190.1
- 散金: 2000
- 红花: 94
- 帖子: 1334
- 在线: 187.1小时
- 虫号: 1730712
- 注册: 2012-04-01
- 性别: GG
- 专业: 电机与电器

4楼2014-11-27 11:39:14













回复此楼