版块导航
正在加载中...
客户端APP下载
论文辅导
申博辅导
登录
注册
帖子
帖子
用户
本版
应《网络安全法》要求,自2017年10月1日起,未进行实名认证将不得使用互联网跟帖服务。为保障您的帐号能够正常使用,请尽快对帐号进行手机号验证,感谢您的理解与支持!
24小时热门版块排行榜
>
论坛更新日志
(3068)
>
虫友互识
(588)
>
论文投稿
(185)
>
休闲灌水
(154)
>
基金申请
(132)
>
导师招生
(106)
>
文献求助
(102)
>
公派出国
(69)
>
硕博家园
(59)
>
博后之家
(55)
>
考博
(47)
>
教师之家
(36)
>
考研
(34)
>
论文道贺祈福
(29)
>
找工作
(26)
>
绿色求助(高悬赏)
(11)
小木虫论坛-学术科研互动平台
»
学术交流区
»
论文投稿
»
论文写作
»
关于论文写作时变量的多个下标如何正确表示
2
1/1
返回列表
查看: 4866 | 回复: 1
只看楼主
@他人
存档
新回复提醒
(忽略)
收藏
在APP中查看
tiancivalen
木虫
(正式写手)
应助: 1
(幼儿园)
金币: 4127.8
散金: 1093
红花: 4
帖子: 400
在线: 232.6小时
虫号: 1930247
注册: 2012-08-08
专业: 计算机应用技术
[
求助
]
关于论文写作时变量的多个下标如何正确表示
已有1人参与
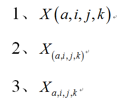
如果一个变量同时需要多个下标,例如一个四维数组的元素X(a,i,j,k),在论文写作时一般怎么表示呢?楼主表示只能想到如下图所示的几种方式,但不知道哪个对哪个错,求指点~~
图1.png
回复此楼
» 猜你喜欢
想换工作。大多数高校都是 评职称时 认可5年内在原单位取得的成果吗?
已经有8人回复
上海工程技术大学张培磊教授团队招收博士生
已经有4人回复
求个博导看看
已经有14人回复
上海工程技术大学【激光智能制造】课题组招收硕士
已经有5人回复
求助院士们,这个如何合成呀
已经有4人回复
临港实验室与上科大联培博士招生1名
已经有9人回复
需要合成515-64-0,50g,能接单的留言
已经有4人回复
自荐读博
已经有4人回复
写了一篇“相变储能技术在冷库中应用”的论文,论文内容以实验为主,投什么期刊合适?
已经有6人回复
带资进组求博导收留
已经有10人回复
» 本主题相关价值贴推荐,对您同样有帮助:
用word 做的柱状图中图例如何变成下标啊!
已经有4人回复
Excel 如何做这样的图?
已经有11人回复
论文proof时需要在 pdf 上修改公式,有上下标,怎么处理?
已经有4人回复
求助,投过电子与信息学报的亲们
已经有5人回复
Cover letter 里的下标字母怎样表示
已经有18人回复
MathCAD中下标求助
已经有2人回复
方差分析结果表示时F值的下标代表什么?
已经有7人回复
哪位有工程设计学报投稿模板
已经有4人回复
数学上矩阵用粗体表示?
已经有4人回复
Elsevier投稿,论文题目中含化学式,下标如何加
已经有3人回复
科技论文在线英文模板格式的问题讨论(下标,上标,一个作者两个单位属性等)
已经有4人回复
Elsevier(SCI) 投稿要求翻译总结
已经有28人回复
请教LATEX中多个求和的下标格式问题
已经有3人回复
求《浙江大学学报》的论文格式要求
已经有3人回复
【讨论】关于谭浩强的书
已经有6人回复
【求助】因不能追加赏币重新发帖:急求Tchebichef矩不变量或Krawtchouk矩不变量代码
已经有19人回复
生物信息学专题-生物版,医学版和信息科学版共同创建
已经有87人回复
多思考,少犯错。
1楼
2014-11-15 21:47:19
已阅
回复此楼
关注TA
给TA发消息
送TA红花
TA的回帖
nono2009
超级版主
(文学泰斗)
No gains, no pains.
专家经验: +21105
SEPI: 10
应助: 28684
(院士)
贵宾: 513.911
金币: 2555220
散金: 27828
红花: 2147
沙发: 66666
帖子: 1602255
在线: 65200.9小时
虫号: 827383
注册: 2009-08-13
性别: GG
专业: 工程热物理与能源利用
管辖:
科研家筹备委员会
【答案】应助回帖
★ ★
感谢参与,应助指数 +1
tiancivalen: 金币+2, 好的,谢谢啊
2014-11-20 14:25:49
我倾向于第三种写法。但是不同期刊可能有不同要求,可以下载该期刊的文章看看。
赞
一下
回复此楼
2楼
2014-11-16 10:12:29
已阅
回复此楼
关注TA
给TA发消息
送TA红花
TA的回帖
相关版块跳转
论文投稿
SCI期刊点评
中文期刊点评
论文道贺祈福
论文翻译
基金申请
学术会议
会议与征稿布告栏
我要订阅楼主
tiancivalen
的主题更新
2
1/1
返回列表
如果回帖内容含有宣传信息,请如实选中。否则帐号将被全论坛禁言
普通表情
龙
兔
虎
猫
百度网盘
|
360云盘
|
千易网盘
|
华为网盘
在新窗口页面中打开自己喜欢的网盘网站,将文件上传后,然后将下载链接复制到帖子内容中就可以了。
信息提示
关闭
请填处理意见
关闭
确定