| 查看: 1399 | 回复: 3 | |
落英ever主管区长
|
[求助]
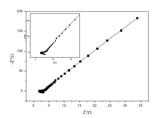
超级电容器EIS图谱出现如下问题亟需找到原因~ 已有1人参与
|
|
|
|
tianyufu版主
|
|
![]() |
|
|
2楼2014-11-16 16:52:09
|
|
落英ever主管区长
|
|
|
3楼2014-11-16 21:35:24
|
|
tianyufu超级版主
|
|
![]() |
|
|
4楼2014-11-17 15:05:38
|
|














回复此楼
