| 查看: 264 | 回复: 0 | ||
金426铜虫 (初入文坛)
|
[求助]
求 CHLOROPHYLL A 和 BACTERIOCHLOROPHYLL A 两个分子的剑桥晶体数据库的CCDC和doi
|
|
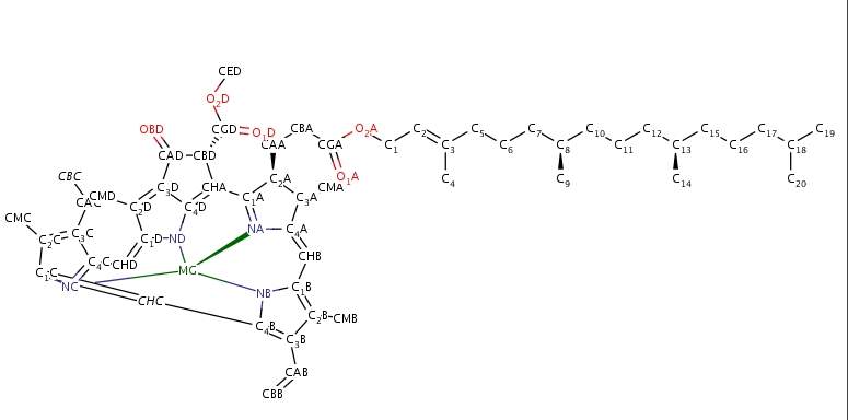
想在剑桥晶体数据库里面找光合作用系统里面的下面两个分子结构 不知道怎么去搜 有知道的拜托伸出援手啊!!!!!! C55 H72 Mg N4 O5 CHLOROPHYLL A C55 H74 Mg N4 O6 BACTERIOCHLOROPHYLL A CLA CHLOROPHYLL A.JPG BCL BACTERIOCHLOROPHYLL A.JPG |
» 猜你喜欢
新西兰Robinson研究所招收全奖PhD
已经有0人回复
石墨烯转移--二氧化硅衬底石墨烯
已经有0人回复
物理学I论文润色/翻译怎么收费?
已经有285人回复
笼目材料中量子自旋液体基态的证据
已经有0人回复
数学教学论硕士可以读数学物理博士吗?
已经有0人回复
德国亥姆霍兹Hereon中心汉堡分部招镁合金腐蚀裂变SCC课题方向2026公派博士生
已经有4人回复
澳门大学 应用物理及材料工程研究院 潘晖教授课题组诚招博士后
已经有11人回复
求助NH4V4O10晶体的CIF文件
已经有0人回复
英国全奖博士招聘-深度学习与量子物理
已经有0人回复
间接带隙半导体有效质量求助
已经有0人回复
投稿chemical physical letters不送审?
已经有0人回复













回复此楼