| 查看: 482 | 回复: 0 | ||
Tony-Yang管理员
就叫我雷锋吧
|
[求助]
求助巯基与二溴乙烷的反应
|
|
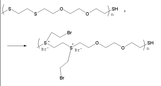
大家看看这个反应能不能进行,最主要是进行了在有巯基的情况下,会不会发生二溴乙烷和硫直接成键的副反应?还有,在什么溶剂中比较合适,万分感谢! 用什么溶剂呢 想要的结果如下: 想要的结果.png 担心会出现如下的结果: 担心会有副反应.png |
» 猜你喜欢
一志愿同济大学323分(080500)求调剂
已经有3人回复
330分求调剂
已经有7人回复
336求调剂
已经有3人回复
285求调剂
已经有5人回复
调剂推荐
已经有9人回复
材料调剂
已经有6人回复
材料专硕322分
已经有3人回复
321求调剂
已经有5人回复
301求调剂
已经有6人回复
085600,321分求调剂
已经有13人回复

找到一些相关的精华帖子,希望有用哦~
关于醇羟基和二溴乙烷的反应
已经有6人回复
求助一个1,2,4-噁二唑的反应
已经有3人回复
DMSO中氢氧化钾用量
已经有12人回复
2取代苯并咪唑衍生物的合成
已经有12人回复
正丁基锂拔溴上醛基,投料比例问题
已经有6人回复
格式试剂交换的原理
已经有7人回复
求助苯酚与巯基乙醇的反应
已经有3人回复
酚羟基和二溴乙烷反应工艺探讨
已经有18人回复
正丁基锂类的反应
已经有3人回复
产物不溶,关于使用正丁基锂反应的问题
已经有8人回复
4,4'-二羟基二苯酮与1,2二溴乙烷的反应
已经有3人回复
求助,丁基锂拔溴上醛基
已经有9人回复
急!!!求助1,2-二溴乙烷与联苯酚的反应
已经有26人回复
丁基锂拔苯环上的溴 与酯反应
已经有13人回复
二溴乙烷引发格式反应的机理
已经有12人回复
二溴乙烷与伯胺的反应
已经有4人回复
求助伯胺和1,2二溴乙烷反应的条件
已经有8人回复
【求助】关于williamson法合成醚的问题
已经有9人回复
【讨论】请教各位高手:溴代直链卤代烃的反应活性问题
已经有5人回复
科研从小木虫开始,人人为我,我为人人














回复此楼
点击这里搜索更多相关资源