| 查看: 6863 | 回复: 35 | ||
| 当前只显示满足指定条件的回帖,点击这里查看本话题的所有回帖 | ||
tianqiong-木虫 (小有名气)
红豆南国
|
[求助]
用氢氧化钠处理氮化硼,能增加其表面的羟基吗?已有6人参与
|
|
|
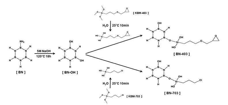
想制备氮化硼和环氧树脂的复合材料,直接拿KH-550改性BN效果不佳。看文献中有人预先用NaOH处理BN,不知是否可行? 哪位虫友做过碱洗?温度大概多少度?多长时间? 文献是110,120℃,处理18h,问题是100℃碱溶液就沸腾了。 4.png |
» 猜你喜欢
《岩石力学与工程学报》修改后增刊复审,申请正刊的几率大吗?
已经有11人回复
Sustainable Engineering Materials首届青年编委招募启事
已经有17人回复
建筑环境与结构工程论文润色/翻译怎么收费?
已经有173人回复
混凝土材料类SCI期刊求推荐
已经有7人回复
哈工大申请考核制招收博士生9月28日截止
已经有20人回复
哈工大26年度博士申请考核第二轮
已经有4人回复
advance in structural engineering 期刊Awaiting EIC Assignmeng阶段十天了
已经有3人回复
ansys有限元分析求助
已经有2人回复
» 本主题相关商家推荐: (我也要在这里推广)
21楼2017-10-26 20:56:09
南京的李工
禁言 (文坛精英)
- CM-EPI: 1
- 应助: 5349 (副教授)
- 贵宾: 0.315
- 金币: 18017.3
- 散金: 12849
- 红花: 579
- 帖子: 11236
- 在线: 919.8小时
- 虫号: 3450490
- 注册: 2014-09-30
- 性别: GG
- 专业: 高分子助剂
2楼2014-11-10 15:41:44
tianqiong-
木虫 (小有名气)
红豆南国
- 应助: 0 (幼儿园)
- 金币: 2402
- 散金: 458
- 红花: 2
- 帖子: 161
- 在线: 162.8小时
- 虫号: 582955
- 注册: 2008-07-25
- 专业: 应用高分子化学与物理
3楼2014-11-10 18:50:47
4楼2014-11-26 14:11:18













回复此楼