Znn3bq.jpeg
²é¿´: 764  |  »Ø¸´: 4

chaiyong2013

гæ (³õÈëÎÄ̳)

[ÇóÖú] Vasp¼ÆËã´ÅÐÔ ÒÑÓÐ1È˲ÎÓë

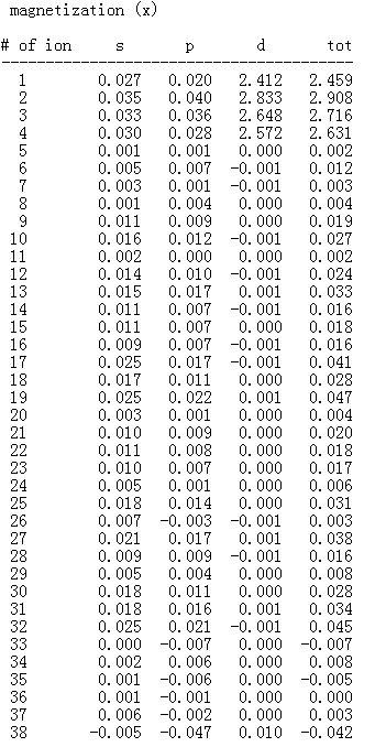
ÎÒ×ö µÄÊÇCr²ôÔÓGaAs£¬°Ë¸öCrÔ­×ÓÌæÎ»°Ë¸öGaÔ­×Ó£¬ÎªÊ²Äصõ½µÄ´Å¾ØÊÇÒ»ÕýÒ»¸ºÄØ£¿Ö»½ØÈ¡ÁËÒ»²¿·Ö£¬ÇóÖ¸µã

Vasp¼ÆËã´ÅÐÔ
²¶»ñ.PNG
»Ø¸´´ËÂ¥

» ²ÂÄãϲ»¶

» ±¾Ö÷ÌâÏà¹Ø¼ÛÖµÌùÍÆ¼ö£¬¶ÔÄúͬÑùÓаïÖú:

ѧÎÞÖ¹¾³
ÒÑÔÄ   »Ø¸´´ËÂ¥   ¹Ø×¢TA ¸øTA·¢ÏûÏ¢ ËÍTAºì»¨ TAµÄ»ØÌû

helloС³æ³æ

½ð³æ (ÕýʽдÊÖ)

¡¾´ð°¸¡¿Ó¦Öú»ØÌû

¸Ðл²ÎÓ룬ӦÖúÖ¸Êý +1
²âÊÔ´ÅÁ¦¾àÊÇÒ»¸ö´Å»Ø¹éÏߣ¬ÓÐÕý¸ºÊýÖµ£¬ÊǶԳƵģ¬È¡¾ø¶ÔÖµ¼´¿É£¡

[ ·¢×ÔСľ³æ¿Í»§¶Ë ]
·ÉµÄ¸ü¸ß£¡
2Â¥2014-11-01 21:53:43
ÒÑÔÄ   »Ø¸´´ËÂ¥   ¹Ø×¢TA ¸øTA·¢ÏûÏ¢ ËÍTAºì»¨ TAµÄ»ØÌû

chaiyong2013

гæ (³õÈëÎÄ̳)

µ«ÊÇ×÷³öÄÜ´øÍ¼£¬Ã»ÓÐÃ÷ÏԵĴøÏ¶;²ôËĸöCrµÄʱºòÈ«ÊÇÕýÖµ£¬¶øÇÒÓÐÃ÷ÏԵĴøÏ¶£¬ÏÖÔÚ¶¼¸ã²»¶®ÁË
ѧÎÞÖ¹¾³
3Â¥2014-11-02 16:58:16
ÒÑÔÄ   »Ø¸´´ËÂ¥   ¹Ø×¢TA ¸øTA·¢ÏûÏ¢ ËÍTAºì»¨ TAµÄ»ØÌû

chaiyong2013

гæ (³õÈëÎÄ̳)

ÒýÓûØÌû:
2Â¥: Originally posted by helloС³æ³æ at 2014-11-01 21:53:43
²âÊÔ´ÅÁ¦¾àÊÇÒ»¸ö´Å»Ø¹éÏߣ¬ÓÐÕý¸ºÊýÖµ£¬ÊǶԳƵģ¬È¡¾ø¶ÔÖµ¼´¿É£¡

µ«ÊÇ×÷³öÄÜ´øÍ¼£¬Ã»ÓÐÃ÷ÏԵĴøÏ¶;²ôËĸöCrµÄʱºòÈ«ÊÇÕýÖµ£¬¶øÇÒÓÐÃ÷ÏԵĴøÏ¶£¬ÏÖÔÚ¶¼¸ã²»¶®ÁË
Vasp¼ÆËã´ÅÐÔ-1
1.PNG

ѧÎÞÖ¹¾³
4Â¥2014-11-02 17:00:38
ÒÑÔÄ   »Ø¸´´ËÂ¥   ¹Ø×¢TA ¸øTA·¢ÏûÏ¢ ËÍTAºì»¨ TAµÄ»ØÌû

chaiyong2013

гæ (³õÈëÎÄ̳)

¶¥
5Â¥2014-11-03 21:30:00
ÒÑÔÄ   »Ø¸´´ËÂ¥   ¹Ø×¢TA ¸øTA·¢ÏûÏ¢ ËÍTAºì»¨ TAµÄ»ØÌû
Ïà¹Ø°æ¿éÌø×ª ÎÒÒª¶©ÔÄÂ¥Ö÷ chaiyong2013 µÄÖ÷Ìâ¸üÐÂ
×î¾ßÈËÆøÈÈÌûÍÆ¼ö [²é¿´È«²¿] ×÷Õß »Ø/¿´ ×îºó·¢±í
[¿¼ÑÐ] Ò»Ö¾Ô¸¹þ¹¤´ó 085600 277 12²Ä¿Æ»ùÇóµ÷¼Á 5+5 chenny174 2026-04-10 25/1250 2026-04-12 10:47 by ´óÁ¦Ë®ÊÖÁ¦´óÎÞÇ
[¿¼ÑÐ] µ÷¼Á +10 ÔÂ@163.com 2026-04-11 10/500 2026-04-12 09:14 by zhouyuwinner
[¿¼ÑÐ] Çóµ÷¼Á£¬Ò»Ö¾Ô¸²ÄÁÏ¿ÆÑ§Ó빤³Ì985£¬365·Ö£¬ +8 ²Ä»¯Àî¿É 2026-04-11 10/500 2026-04-12 08:42 by 852137818
[¿¼ÑÐ] 310Çóµ÷¼Á +12 666ÕæºÃ 2026-04-11 13/650 2026-04-12 08:40 by Sealedwind
[ÕÒ¹¤×÷] ɽ¶«¸ßУ½Ìʦ¿¼ºË³¬¼¶ÎÞµ×Ïߣ¬Ô±¹¤¹ý²»ÏÂÈ¥À² +4 qut2026 2026-04-09 9/450 2026-04-12 00:54 by qut2026
[¿¼ÑÐ] 283Çóµ÷¼Á 086004¿¼Ó¢¶þÊý¶þ +17 ÄǸöàà×Ó 2026-04-10 18/900 2026-04-11 16:27 by Ã÷Ô´ËʱÓÐ
[¿¼ÑÐ] 352 Çóµ÷¼Á +6 yzion 2026-04-11 8/400 2026-04-11 16:24 by Ã÷Ô´ËʱÓÐ
[¿¼ÑÐ] 283Çóµ÷¼Á +22 ÄǸöàà×Ó 2026-04-09 22/1100 2026-04-11 10:41 by ÄæË®³Ë·ç
[¿¼ÑÐ] 346£¬¹¤¿ÆÇóµ÷¼Á +3 moser233 2026-04-09 3/150 2026-04-11 10:04 by zhq0425
[¿¼ÑÐ] ¿¼Ñе÷¼Á +26 ˶ÐǸ° 2026-04-09 27/1350 2026-04-10 22:24 by Öí»á·É
[¿¼ÑÐ] 265Çóµ÷¼Á +12 ·ç˵ËýÔçÍüÁË 2026-04-10 13/650 2026-04-10 18:56 by chemisry
[¿¼ÑÐ] 336²ÄÁÏÓ뻯¹¤085600Çóµ÷¼Á +21 Ë®ÐǼÇinfp 2026-04-05 24/1200 2026-04-10 15:28 by luoyongfeng
[¿¼ÑÐ] Ò»Ö¾Ô¸211 0703»¯Ñ§ 346·ÖÇóµ÷¼Á +22 ÍÁ¶¹er? 2026-04-09 23/1150 2026-04-10 10:58 by ¸ßά´º
[¿¼ÑÐ] Ò»Ö¾Ô¸»ª¹¤085600 331·Ö +6 ÌìÏÂww 2026-04-09 6/300 2026-04-09 18:59 by l_paradox
[¿¼ÑÐ] Çóµ÷¼Á +8 ³Ô¿Ú±ù¼¤Áè 2026-04-07 8/400 2026-04-09 08:03 by 5268321
[¿¼ÑÐ] Ò»Ö¾Ô¸985³õÊÔ354·ÖÉúÎïµ÷¼Á +3 031001 2026-04-06 3/150 2026-04-09 00:30 by Evan_Liu
[¿¼ÑÐ] ÍÁľˮÀûר˶276·ÖÇóµ÷¼Á +6 ÎÒÏëÉÏѧ£¡£¡6 2026-04-05 9/450 2026-04-08 17:45 by ËÎС±¦HQ
[¿¼ÑÐ] 0703µ÷¼Á£¬Ò»Ö¾Ô¸Ìì½ò´óѧ319·Ö +23 haaaabcd 2026-04-05 26/1300 2026-04-08 16:19 by luoyongfeng
[¿¼ÑÐ] 318Çóµ÷¼Á +5 ÀîÇàɽɽɽ 2026-04-07 5/250 2026-04-07 18:24 by À¶ÔÆË¼Óê
[¿¼ÑÐ] һ־Ը̫ԭÀí¹¤´óѧ¼ÆËã»ú¼¼Êõר˶348£¬Çóµ÷¼ÁÖ¸µ¼ +3 nexious 2026-04-05 3/150 2026-04-07 08:19 by jp9609
ÐÅÏ¢Ìáʾ
ÇëÌî´¦ÀíÒâ¼û