| 查看: 2329 | 回复: 20 | ||
| 当前只显示满足指定条件的回帖,点击这里查看本话题的所有回帖 | ||
[求助]
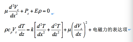
电磁力在能量方程中的表达 已有2人参与
|
||
|
|
||
|
18楼2014-11-02 21:34:36
|
|
|
| 查看全部 21 个回答 | ||
|
2楼2014-11-01 19:51:34
|
|
|
pippi6铁杆木虫 (著名写手)
工程和科学数值计算咨询
|
【答案】应助回帖
★ ★ ★ ★ ★ ★ ★ ★ ★ ★ ★ ★ ★ ★ ★ ★ ★ ★ ★ ★ ★ ★ ★ ★ ★ ★ ★ ★ ★ ★ ★ ★ ★ ★ ★ ★ ★ ★ ★ ★ ★ ★ ★ ★ ★ ★ ★ ★ ★ ★ ★ ★ ...
感谢参与,应助指数 +1 tingjain: 金币+80, ★★★很有帮助, 十分感激!! 2014-11-02 09:42:42
|
|
|
3楼2014-11-01 21:44:42
|
|
|
|
4楼2014-11-02 09:51:37
|
|
|














回复此楼