| ²é¿´: 563 | »Ø¸´: 1 | ||
zhoustrongÒø³æ (³õÈëÎÄ̳)
|
[ÇóÖú]
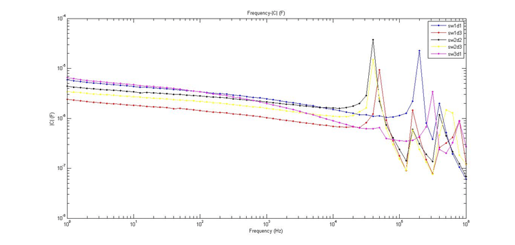
ÇóÖú£¬ÎªÊ²Ã´²âµ½µÄµçÈÝÔÚ¸ßÆµÂʶλᲨ¶¯ÕâôÑÏÖØÄØ£¿ ÒÑÓÐ1È˲ÎÓë
|
|
¸÷λ³æÓÑ£¬ÎÒÊÇ×öÁ½µç¼«µç»¯Ñ§´«¸ÐÆ÷µÄ£¬ÔÚÓõ绯ѧ¹¤×÷Õ¾²âÊÔÁËÒ»×éÊý¾Ý£¬ÎªÊ²Ã´²âµ½µÄµçÈÝÔÚ¸ßÆµÂʶλᲨ¶¯ÕâôÑÏÖØÄØ£¿ÕâÊÇʲôÔÒò£¬ÓÉʲô¹ý³Ìµ¼ÖµÄÄØ£¿ H82IJU]]_26}20`]1POUSLK.png |
» ²ÂÄãϲ»¶
1
ÒѾÓÐ21È˻ظ´
0703 µ÷¼Á
ÒѾÓÐ6È˻ظ´
·ÖÎö»¯Ñ§ÂÛÎÄÈóÉ«/·ÒëÔõôÊÕ·Ñ?
ÒѾÓÐ211È˻ظ´
ÕÐÊÕ
ÒѾÓÐ0È˻ظ´
Î÷ÄÏij211ÕÐ27½ì²©Ê¿
ÒѾÓÐ33È˻ظ´
´óÁ¬¹¤Òµ½ÜÇà/³¤½ÍŶÓ-ÉúÎïÖʲÄÁÏ-´¢ÄÜµç³Ø·½ÏòÕÐÊÕ2026¼¶²©Ê¿Éú
ÒѾÓÐ0È˻ظ´
Çóµ÷¼ÁÒ»Ö¾Ô¸º£´ó£¬0703»¯Ñ§Ñ§Ë¶304·Ö£¬Óдó´´ÏîÄ¿£¬Ëļ¶Òѹý
ÒѾÓÐ10È˻ظ´
070300 Çóµ÷¼Á
ÒѾÓÐ1È˻ظ´
ÉîÛÚ´óѧ¸ßµÈÑо¿ÔºÕÔΰ¿ÎÌâ×éÕÐÊÕ»¯Ñ§µ÷¼ÁÉú
ÒѾÓÐ3È˻ظ´
Çൺ´óѧ¹Ì̬µç³ØÑо¿ÍŶÓÕÐÊÕ²ÄÁÏ¡¢»¯Ñ§¡¢ÎïÀíµÈ·½Ïò²©Ê¿Ñо¿Éú
ÒѾÓÐ7È˻ظ´
» ±¾Ö÷ÌâÏà¹Ø¼ÛÖµÌùÍÆ¼ö£¬¶ÔÄúͬÑùÓаïÖú:
²âÊÔѹµçÌմɵçÈÝʱƵÂÊΪ20-8-KHz£¬É¨Ãè50¸öµã£¬ÓÐʲôÏà¹ØµÄÒÇÆ÷£¿
ÒѾÓÐ11È˻ظ´
¡¾ÇóÖú¡¿±ÈµçÈÝÓëÆµÂʹØÏµÍ¼
ÒѾÓÐ8È˻ظ´
¡¾ÇóÖú¡¿ÓÐÁ˽ⳬ¼¶µçÈݵÄô£¿
ÒѾÓÐ7È˻ظ´
¡¾ÌÖÂÛ¡¿¸÷룬²âÊÔ½éµçËðºÄºÍµçÈÝËæÆµÂʵı仯£¬³öÏÖ¸ºÖµµÄÇé¿ö°¡£¿
ÒѾÓÐ3È˻ظ´


2Â¥2014-11-18 08:59:15













»Ø¸´´ËÂ¥