| 查看: 771 | 回复: 1 | |
蚂蚁爬爬金虫 (小有名气)
|
[求助]
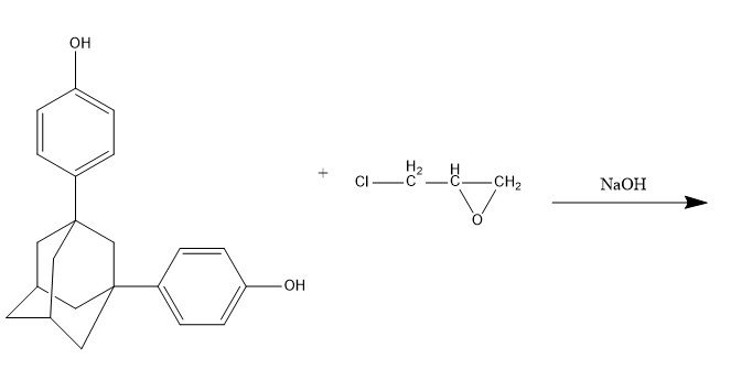
关于合成低分子环氧树脂的问题 已有1人参与
|
|
|
|
![]() |
|
|
2楼2016-07-08 14:48:12
|
|














回复此楼
