版块导航
正在加载中...
客户端APP下载
论文辅导
调剂小程序
登录
注册
帖子
帖子
用户
本版
应《网络安全法》要求,自2017年10月1日起,未进行实名认证将不得使用互联网跟帖服务。为保障您的帐号能够正常使用,请尽快对帐号进行手机号验证,感谢您的理解与支持!
24小时热门版块排行榜
>
论坛更新日志
(3916)
>
虫友互识
(827)
>
导师招生
(485)
>
文献求助
(454)
>
硕博家园
(177)
>
考研
(168)
>
休闲灌水
(164)
>
考博
(154)
>
博后之家
(107)
>
招聘信息布告栏
(95)
>
论文投稿
(62)
>
教师之家
(57)
>
基金申请
(55)
>
绿色求助(高悬赏)
(50)
>
公派出国
(42)
>
论文道贺祈福
(41)
小木虫论坛-学术科研互动平台
»
化学化工区
»
电化学
»
电分析测试
»
燃料电池阻抗谱阴极极化电阻
4
1/1
返回列表
查看: 1328 | 回复: 3
只看楼主
@他人
存档
新回复提醒
(忽略)
收藏
在APP中查看
futuredoctor
铁虫
(小有名气)
应助: 0
(幼儿园)
金币: 465.7
红花: 7
帖子: 85
在线: 40.9小时
虫号: 2017445
注册: 2012-09-20
专业: 电化学
[
求助
]
燃料电池阻抗谱阴极极化电阻
已有2人参与
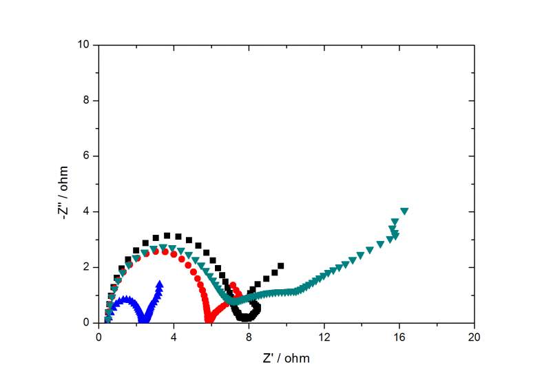
本人测了一个对称的三部件燃料电池的阻抗谱,600-400度,空气中。但是应该如何读取阴极的计划电阻呢?请教别人说,中间这个半圆在横轴上的截距(可以说直径吧)算是阴极和阳极的总计划电阻,然后除以2可以得到阴极的计划电阻。但是,看图中,绿色的线中间的半圆与横轴并没有交点,该如何确定这个截距呢??求指点。谢谢
Graph1.jpg
回复此楼
» 猜你喜欢
德国Karlsruhe Institute of Technology招收电化学储能及联合培养CSC博士等
已经有20人回复
德国Karlsruhe Institute of Technology招收电化学储能及联合培养CSC博士
已经有24人回复
物理化学论文润色/翻译怎么收费?
已经有81人回复
德国Karlsruhe Institute of Technology招收电化学储能及联合培养CSC博士
已经有1人回复
固态锂金属电池迁移数计算求助
已经有1人回复
荷兰奈梅亨大学赵文博与Galimberti课题组招收理论计算CSC博士 2000 欧元/月+房补
已经有0人回复
26储能博士申请自荐
已经有23人回复
上海交通大学--宁波东方理工大学电池方向博士招生
已经有10人回复
海南大学全国重点实验室杨金霖老师招收储能电池方向博士生(2026年3月报名,9月入学)
已经有1人回复
海南师范大学2026年博士研究生招收 (在职想提升学历人员可报考) 申请考核制+普通招考
已经有1人回复
申博求助
已经有0人回复
» 本主题相关价值贴推荐,对您同样有帮助:
极化曲线和阻抗谱分析 急啊!
已经有3人回复
急求!哪位燃料电池催化剂大神能帮忙给个解释?不知道该怎么回复这位审稿人的意见!
已经有7人回复
电化学阻抗谱中,polarization resistance 和 charge tranfer resistance有什么区别
已经有9人回复
阴极极化-析氢-扫描方向
已经有7人回复
急!Tafel斜率
已经有10人回复
极化曲线结果和阻抗谱结果不一致怎么回事?
已经有21人回复
阻抗谱图和极化曲线
已经有7人回复
半导体电化学阻抗图谱分析
已经有25人回复
在碱性燃料电池中用的Fe基催化剂有前途吗
已经有8人回复
关于电池极化和电极极化的问题?求教
已经有7人回复
氢氧燃料电池阴极催化剂的循环伏安测试
已经有13人回复
电化学生物燃料电池求助
已经有4人回复
极化阻抗如何计算 电化学阻抗
已经有11人回复
做极化曲线和交流阻抗谱的电极面积不是1cm2怎么换算?
已经有11人回复
【求助】测极化曲线和阻抗的工作电极怎么做?
已经有12人回复
【求助】燃料电池极化曲线测试
已经有5人回复
【求助】如何解释SOFC阴极的Nyquist图(阴极极化电阻)
已经有4人回复
【求助】想问下固体氧化物燃料电池阻抗测量问题
已经有14人回复
【讨论】极化曲线与交流阻抗
已经有22人回复
1楼
2014-10-20 09:58:52
已阅
回复此楼
关注TA
给TA发消息
送TA红花
TA的回帖
abc123cba
金虫
(小有名气)
应助: 25
(小学生)
金币: 1371.6
帖子: 246
在线: 82.5小时
虫号: 1376972
注册: 2011-08-23
性别: GG
专业: 电化学
【答案】应助回帖
★ ★ ★ ★
感谢参与,应助指数 +1
futuredoctor: 金币+4
2014-10-27 17:14:10
建议仔细研读关于EIS图谱的含义及分析拟合方法
赞
一下
回复此楼
2楼
2014-10-20 12:36:01
已阅
回复此楼
关注TA
给TA发消息
送TA红花
TA的回帖
futuredoctor
铁虫
(小有名气)
应助: 0
(幼儿园)
金币: 465.7
红花: 7
帖子: 85
在线: 40.9小时
虫号: 2017445
注册: 2012-09-20
专业: 电化学
引用回帖:
2楼
:
Originally posted by
abc123cba
at 2014-10-20 12:36:01
建议仔细研读关于EIS图谱的含义及分析拟合方法
谢谢。 在写论文,希望得到target的问题答案的指导。
赞
一下
回复此楼
3楼
2014-10-20 12:41:19
已阅
回复此楼
关注TA
给TA发消息
送TA红花
TA的回帖
lfang
木虫
(著名写手)
应助: 146
(高中生)
金币: 2113.1
红花: 31
帖子: 1042
在线: 138.3小时
虫号: 91883
注册: 2005-09-07
性别: GG
专业: 能源化工
【答案】应助回帖
★ ★ ★ ★ ★ ★
感谢参与,应助指数 +1
futuredoctor: 金币+6,
★
有帮助
2014-10-27 17:14:04
总的内阻(欧姆)是左边的截距。
电荷转移阻抗是那个半圆的半径,使用拟合的方法获得。
赞
一下
(1人)
回复此楼
4楼
2014-10-21 21:30:26
已阅
回复此楼
关注TA
给TA发消息
送TA红花
TA的回帖
相关版块跳转
有机交流
有机资源
高分子
无机/物化
分析
催化
工艺技术
化工设备
石油化工
精细化工
电化学
环境
SciFinder/Reaxys
我要订阅楼主
futuredoctor
的主题更新
4
1/1
返回列表
如果回帖内容含有宣传信息,请如实选中。否则帐号将被全论坛禁言
普通表情
龙
兔
虎
猫
百度网盘
|
360云盘
|
千易网盘
|
华为网盘
在新窗口页面中打开自己喜欢的网盘网站,将文件上传后,然后将下载链接复制到帖子内容中就可以了。
信息提示
关闭
请填处理意见
关闭
确定