| 查看: 1805 | 回复: 1 | |
[求助]
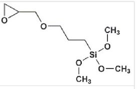
求助PEI上氨基跟KH560上环氧基的反应溶剂、温度、时间、pH、催化剂等
|
|
|
|
|
fuhuidong专家顾问
|
|
![]() |
|
|
2楼2014-12-20 10:02:21
|
|














回复此楼
