24小时热门版块排行榜    

查看: 287  |  回复: 0

梦情天涯

新虫 (初入文坛)

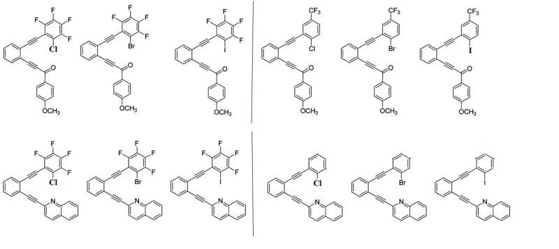
[求助] 卤键的计算

我首先用6-311++G**对分子进行了优化,然后再用aug-cc-pvdz,但是算不出来,用到的关键词如下# wb97xd/aug-cc-pvdz freq opt nosymm integral=ultrafine scf(conver=6) IOP(1/8=10)和# m062x/aug-cc-pvdz freq opt nosymm integral=ultrafine和# m062x/aug-cc-pvdz freq opt nosymm integral=ultrafine scf(conver=6) IOP(1/8=10)
和# m062x/aug-cc-pvdz freq opt nosymm int=fine scf(conver=6) IOP(1/8=10),求大神帮忙

卤键的计算
张玉琛.jpg
回复此楼
已阅   回复此楼   关注TA 给TA发消息 送TA红花 TA的回帖
相关版块跳转 我要订阅楼主 梦情天涯 的主题更新
最具人气热帖推荐 [查看全部] 作者 回/看 最后发表
[考研] 材料277求调剂 +5 min3 2026-03-24 5/250 2026-03-26 15:13 by zzll406
[考研] 一志愿哈工大,085400,320,求调剂 +4 gdlf9999 2026-03-24 4/200 2026-03-25 23:01 by boxking200
[考研] 332求调剂 +6 032500 2026-03-25 6/300 2026-03-25 22:45 by 418490947
[考研] 材料与化工328分调剂 +6 。,。,。,。i 2026-03-23 6/300 2026-03-25 22:30 by 418490947
[考研] 材料专硕 335 分求调剂 +4 拒绝冷暴力 2026-03-25 4/200 2026-03-25 18:45 by haxia
[考研] 材料与化工 322求调剂 +6 然11 2026-03-19 6/300 2026-03-25 18:37 by haxia
[考研] 网络空间安全0839招调剂 +4 w320357296 2026-03-25 6/300 2026-03-25 17:59 by 255671
[考研] 0854人工智能方向招收调剂 +4 章小鱼567 2026-03-24 4/200 2026-03-25 13:29 by 2177681040
[考研] 286求调剂 +11 Faune 2026-03-21 11/550 2026-03-25 10:11 by 雾散后相遇lc
[考研] 材料292调剂 +8 橘颂思美人 2026-03-23 8/400 2026-03-24 16:33 by laoshidan
[考研] 材料专硕331求调剂 +4 鲜当牛 2026-03-24 4/200 2026-03-24 15:58 by JourneyLucky
[考研] 085404电子信息284分求调剂 +4 13659058978 2026-03-24 4/200 2026-03-24 12:15 by syl20081243
[考博] 26申博自荐 +3 whh869393 2026-03-24 3/150 2026-03-24 09:55 by 21018060
[考研] 293求调剂 +3 涛涛Wjt 2026-03-22 5/250 2026-03-22 22:21 by jiangpengfei
[考研] 324求调剂 +6 lucky呀呀呀鸭 2026-03-20 6/300 2026-03-22 16:01 by ColorlessPI
[考研] 材料与化工(0856)304求B区调剂 +3 邱gl 2026-03-20 7/350 2026-03-21 19:05 by 15709483992
[考研] 材料 271求调剂 +5 展信悦_ 2026-03-21 5/250 2026-03-21 17:29 by 学员8dgXkO
[考研] 266求调剂 +3 哇呼哼呼哼 2026-03-20 3/150 2026-03-21 16:46 by barlinike
[考研] 南昌大学材料专硕311分求调剂 +6 77chaselx 2026-03-20 6/300 2026-03-21 07:24 by JourneyLucky
[考研] 295复试调剂 +8 简木ChuFront 2026-03-19 8/400 2026-03-20 20:44 by zhukairuo
信息提示
请填处理意见