| ²é¿´: 546 | »Ø¸´: 3 | ||||
magicÐÄÀ¶½ð³æ (³õÈëÎÄ̳)
|
[ÇóÖú]
ÉúÎïרҵµÄÀ´ÇóÖú´óÉñ£¡Êý¾Ý´¦ÀíµÄ½á¹ûÒѾͷÌۺü¸ÌìÀ²£¡ ÒÑÓÐ1È˲ÎÓë
|
|
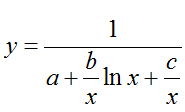
¸½¼þÀïµÄ¹«Ê½ÊÇÎÒÃÇͨ¹ý´¦ÀíʵÑéÊý¾ÝµÃ³öµÄÄâºÏ·½³Ì¡£ÏÖÔÚµÄÎÊÌâÊÇ£º1.·½³ÌÖеÄa.b.c³£Êý´ú±íµÄÒâÒ壻2 .a.b.c»áÔõÑùÓ°Ïì·½³ÌµÄͼÏñ±ä»¯ gongshi.png |
» ²ÂÄãϲ»¶
µ÷¼Á
ÒѾÓÐ3È˻ظ´
08¹¤Ñ§µ÷¼Á
ÒѾÓÐ15È˻ظ´
ÕÐ08¿¼Êýѧ
ÒѾÓÐ16È˻ظ´
340Çóµ÷¼Á
ÒѾÓÐ3È˻ظ´
²ÄÁÏר˶ÕÒµ÷¼Á
ÒѾÓÐ4È˻ظ´
0854µç×ÓÐÅÏ¢Çóµ÷¼Á
ÒѾÓÐ6È˻ظ´
0805 316Çóµ÷¼Á
ÒѾÓÐ4È˻ظ´
0854 ¿¼Ñе÷¼Á ÕÐÉúÁË£¡AI ·½Ïò
ÒѾÓÐ17È˻ظ´
¡¾¿¼Ñе÷¼Á¡¿»¯Ñ§×¨Òµ 281·Ö£¬Ò»Ö¾Ô¸ËÄ´¨´óѧ£¬³ÏÐÄÇóµ÷¼Á
ÒѾÓÐ15È˻ظ´
×ÊÔ´Óë»·¾³ µ÷¼ÁÉêÇë(333·Ö)
ÒѾÓÐ7È˻ظ´
Edstrayer
°æÖ÷ (ÖøÃûдÊÖ)
·½´ç¶·ÊÒСÌìµØÕýÆøÃÔÂþ´óÊÀ½ç
- ÊýѧEPI: 7
- Ó¦Öú: 157 (¸ßÖÐÉú)
- ¹ó±ö: 0.927
- ½ð±Ò: 9349.6
- É¢½ð: 4503
- ºì»¨: 77
- ɳ·¢: 2
- Ìû×Ó: 2745
- ÔÚÏß: 1465.6Сʱ
- ³æºÅ: 3086598
- ×¢²á: 2014-03-25
- ¹ÜϽ: Êýѧ

2Â¥2014-10-11 19:10:41
magicÐÄÀ¶
½ð³æ (³õÈëÎÄ̳)
- Ó¦Öú: 0 (Ó×¶ùÔ°)
- ½ð±Ò: 776.7
- Ìû×Ó: 12
- ÔÚÏß: 17.9Сʱ
- ³æºÅ: 1477232
- ×¢²á: 2011-11-05
- ÐÔ±ð: GG
- רҵ: Ë®²úÑøÖ³Ñ§
3Â¥2014-10-11 19:53:06
zaq123321
ר¼Ò¹ËÎÊ (ÖøÃûдÊÖ)
-

ר¼Ò¾Ñé: +342 - ÊýѧEPI: 6
- Ó¦Öú: 298 (´óѧÉú)
- ¹ó±ö: 0.247
- ½ð±Ò: 11336.3
- ºì»¨: 29
- Ìû×Ó: 1221
- ÔÚÏß: 538.8Сʱ
- ³æºÅ: 405284
- ×¢²á: 2007-06-17
- ÐÔ±ð: MM
- רҵ: ÉúÎï´ó·Ö×ӽṹÓ빦ÄÜ
- ¹ÜϽ: Êýѧ
¡¾´ð°¸¡¿Ó¦Öú»ØÌû
¸Ðл²ÎÓ룬ӦÖúÖ¸Êý +1
|
It's better to give the ranges of parameters and variables. Then consider the function as second floor. U can fix two parameters at a time to see their impacts and may consider their combinations. Use Matlab to plot the function to get some flavor. [ ·¢×ÔÊÖ»ú°æ http://muchong.com/3g ] |

4Â¥2014-10-11 19:54:45













»Ø¸´´ËÂ¥