| ²é¿´: 429 | »Ø¸´: 1 | ||
youxi2Ìú¸Ëľ³æ (ÖªÃû×÷¼Ò)
|
[ÇóÖú]
¸ß·Ö×ÓÁ÷±ä
|
|
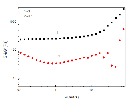
´óÏÀÃÇ£¬°ï°ï棬ΪʲôÎÒÔÚ×ö¸ß·Ö×ÓÁ÷±äµÄƵÂÊɨÃèʱ»áÓÐÌøµãÏÖÏóÄØ£¬Ìõ¼þ²ÎÊýÉèÖõÄûÓÐÎÊÌâ°¡£¬Çó°ïÖú°¡¡£¡£¡£ 1.png |
» ²ÂÄãϲ»¶
284Çóµ÷¼Á
ÒѾÓÐ10È˻ظ´
һ־Ըɽ¶«´óѧҩѧѧ˶Çóµ÷¼Á
ÒѾÓÐ4È˻ظ´
07»¯Ñ§280·ÖÇóµ÷¼Á
ÒѾÓÐ4È˻ظ´
298-Ò»Ö¾Ô¸Öйúũҵ´óѧ-Çóµ÷¼Á
ÒѾÓÐ12È˻ظ´
Çó²ÄÁÏ£¬»·¾³×¨Òµµ÷¼Á
ÒѾÓÐ3È˻ظ´
335Çóµ÷¼Á
ÒѾÓÐ5È˻ظ´
Çóµ÷¼Á
ÒѾÓÐ7È˻ظ´
Ò»Ö¾Ô¸¼ª´ó»¯Ñ§322Çóµ÷¼Á
ÒѾÓÐ4È˻ظ´
»·¾³Ñ§Ë¶288Çóµ÷¼Á
ÒѾÓÐ8È˻ظ´
341Çóµ÷¼Á(Ò»Ö¾Ô¸ºþÄÏ´óѧ070300)
ÒѾÓÐ6È˻ظ´
» ±¾Ö÷ÌâÏà¹ØÉ̼ÒÍÆ¼ö: (ÎÒÒ²ÒªÔÚÕâÀïÍÆ¹ã)
2Â¥2014-11-29 14:38:14













»Ø¸´´ËÂ¥