| 查看: 1671 | 回复: 1 | |
[求助]
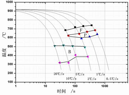
请问怎么看这幅图的Ar3温度? 已有1人参与
|
|
|
|
|
starior金虫 (小有名气)
|
|
|
2楼2014-09-20 08:09:34
|
|














回复此楼