| ²é¿´: 374 | »Ø¸´: 0 | ||
yufangboÌú¸Ëľ³æ (ÖøÃûдÊÖ)
|
[ÇóÖú]
ÕâÑùµÄ±ê×¼£¬×îµÍÿ¸öÔÂÔÚ±£ÏÕÉÏ»¨¶àÉÙÃÀÔª°¡£¿
|
|
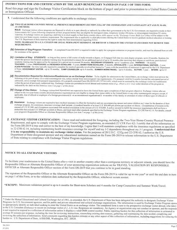
ÊÕµ½2019£¬ÊÇ·ÃÎÊѧÕßÀà±ðµÄ¡£¿´¿´µÚ¶þÒ³ÓÐºÜ¶à¹ØÓÚ±£ÏÕµÄ×îµÍÒªÇó£¬ÎÒÏëÎÊ¡ª¡ª £¨1£©±£ÏÕÊÇ·ñÔÙǩ֤ǰһ¶¨ÒªÂòºÃ£¿ £¨2£©ÔÚÃÀ¹úÂòµÄ»°£¬¸²¸Ç×îµÍÒªÇóµÄ±£ÏÕ£¬´ó¸Åÿ¸öÔ¶àÉÙÃÀÔªÒª£¿ лл£¡ 2019-2.jpg |
» ²ÂÄãϲ»¶
266Çóµ÷¼Á
ÒѾÓÐ7È˻ظ´
²ÄÁϵ÷¼Á
ÒѾÓÐ16È˻ظ´
Çóµ÷¼Á£º085600²ÄÁÏÓ뻯¹¤£¬¿¼²Ä¿Æ»ù£¬×Ü·Ö319
ÒѾÓÐ22È˻ظ´
085600£¬320·ÖÇóµ÷¼Á
ÒѾÓÐ4È˻ظ´
085701Çóµ÷¼Á
ÒѾÓÐ3È˻ظ´
¿¼Ñе÷¼Á
ÒѾÓÐ3È˻ظ´
0710ÉúÎïѧ336·ÖÇóµ÷¼Á
ÒѾÓÐ6È˻ظ´
µç×ÓÐÅÏ¢µ÷¼Á½»²æÑ§¿ÆÓÐÍÆ¼öÂð
ÒѾÓÐ7È˻ظ´
Ò»Ö¾Ô¸±±¾©»¯¹¤´óѧ£¬³õÊԳɼ¨350Çóµ÷¼Á
ÒѾÓÐ3È˻ظ´
280Çóµ÷¼Á
ÒѾÓÐ20È˻ظ´
ÕÒµ½Ò»Ð©Ïà¹ØµÄ¾«»ªÌû×Ó£¬Ï£ÍûÓÐÓÃŶ~
Çë½ÌÃÀ¹ú·ðÂÞÀï´ïÖÝÿ¸öÔµı£ÏÕÊǶàÉÙÇ®°¡£¿
ÒѾÓÐ13È˻ظ´
ÃÀ¹ú´óѧҪÇóÂòµÄ±£ÏÕÿ¸öÔ´ó¸ÅÐèÒª¶àÉÙÇ®£¿
ÒѾÓÐ11È˻ظ´
CSC×ÊÖú±ê×¼ÓëÃÀ¹úÆÕͨÃñÖڵļÒÍ¥ÊÕÈ룬ÓÃÊý×Ö˵»°
ÒѾÓÐ48È˻ظ´
¿ÆÑдÓСľ³æ¿ªÊ¼£¬ÈËÈËΪÎÒ£¬ÎÒΪÈËÈË














»Ø¸´´ËÂ¥
µã»÷ÕâÀïËÑË÷¸ü¶àÏà¹Ø×ÊÔ´