| ²é¿´: 3830 | »Ø¸´: 14 | |
| ¡¾½±Àø¡¿ ±¾Ìû±»ÆÀ¼Û13´Î£¬×÷Õßbruce_dafeiÔö¼Ó½ð±Ò 10.4 ¸ö | |
[×ÊÔ´]
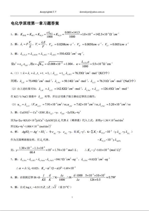
¡¾¿Îºó´ð°¸¡¿µç»¯Ñ§ÔÀí £¨ÀîµÒ Öø£©¿Îºó1-7ÕÂϰÌâ²Î¿¼´ð°¸
|
|
|
|
|
|
6Â¥2015-10-28 16:40:33
|
|
|
¼òµ¥»Ø¸´
|
|
|
cvza77882Â¥
|
2014-09-28 00:06
»Ø¸´
ÎåÐÇºÃÆÀ ¶¥Ò»Ï£¬¸Ðл·ÖÏí£¡
|
|
İСܷ3¥
|
2015-03-05 19:18
»Ø¸´
ÎåÐÇºÃÆÀ ¶¥Ò»Ï£¬¸Ðл·ÖÏí£¡
|
|
njgreencard4Â¥
|
2015-03-07 03:34
»Ø¸´
ÎåÐÇºÃÆÀ ¶¥Ò»Ï£¬¸Ðл·ÖÏí£¡
|
|
¿Ë¼º¸´Àñ5Â¥
|
2015-05-14 22:53
»Ø¸´
ÎåÐÇºÃÆÀ ¶¥Ò»Ï£¬¸Ðл·ÖÏí£¡
|
|
ljliu27Â¥
|
2016-04-10 20:26
»Ø¸´
ÎåÐÇºÃÆÀ ¶¥Ò»Ï£¬¸Ðл·ÖÏí£¡
|
|
¾²Ðľ»¶øË¼°²8Â¥
|
2016-06-12 15:19
»Ø¸´
ÎåÐÇºÃÆÀ ¶¥Ò»Ï£¬¸Ðл·ÖÏí£¡
|
|
lienbo20059Â¥
|
2016-08-30 23:05
»Ø¸´
ÎåÐÇºÃÆÀ ¶¥Ò»Ï£¬¸Ðл·ÖÏí£¡
|
|
ССlotous10¥
|
2016-10-23 22:19
»Ø¸´
ÎåÐÇºÃÆÀ ºÃ
|
|
·çÖ𺣽Ç11Â¥
|
2016-10-24 07:13
»Ø¸´
ÎåÐÇºÃÆÀ ¶¥Ò»Ï£¬¸Ðл·ÖÏí£¡
|
|
wrt808950312Â¥
|
2018-12-24 12:51
»Ø¸´
ÎåÐÇºÃÆÀ ¶¥Ò»Ï£¬¸Ðл·ÖÏí£¡
|
|
hittang13Â¥
|
2019-12-11 15:22
»Ø¸´
ÎåÐÇºÃÆÀ ¶¥Ò»Ï£¬¸Ðл·ÖÏí£¡
|
|
·¬ÇÑ´ó²¤ÂÜ14Â¥
|
2020-03-04 11:19
»Ø¸´
|
|
ËÄЦ²Å×Ó¼ÑÈË15Â¥
|
2022-10-21 23:13
»Ø¸´
ÎåÐÇºÃÆÀ ¶¥Ò»Ï£¬¸Ðл·ÖÏí£¡
|













»Ø¸´´ËÂ¥
·¬ÇÑ´ó²¤ÂÜ