| 查看: 1480 | 回复: 4 | |||
jin151木虫 (著名写手)
|
[交流]
请教Rsoft求光子晶体光纤色散曲线的纵轴问题~~ 已有3人参与
|
|
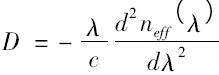
用Rsoft仿真光子晶体光纤,求出了有效折射率Neff和波长λ的一系列数据。然后用Rsoft的disperse命令求光纤的色散曲线。得到图1的结果图。 根据教材上给的色散公式(图2)曲线图的纵轴应该是(-λ/c)(d^2Neff/dλ^2)。但是Rsoft生成的图不知道为什么纵坐标是d^2Neff/dλ^2。 请大牛指点 ![]() 图1.jpg 图2.jpg |
» 猜你喜欢
机械工程264学硕求调剂
已经有3人回复
264求调剂
已经有9人回复
求调剂
已经有6人回复
22408 266求调剂
已经有7人回复
求调剂
已经有14人回复
273求调剂
已经有43人回复
307求调剂
已经有13人回复
327求调剂
已经有7人回复
338求调剂
已经有6人回复
326分,一志愿沪9,求生物学调剂
已经有3人回复
» 本主题相关价值贴推荐,对您同样有帮助:
求问晶体教材选用
已经有5人回复
求问标准偏差怎么计算?
已经有5人回复
【交流】对单模光纤来说,其纤芯内只传播一种模式吗?
已经有12人回复
【求助】【求助】光子晶体带隙计算与模拟
已经有9人回复
【求助】Rsoft公司软件中适合模拟PCF模式及色散特性的模块是哪个
已经有6人回复
wcghha
木虫 (著名写手)
- 应助: 28 (小学生)
- 金币: 3036.1
- 散金: 1323
- 红花: 7
- 帖子: 1007
- 在线: 438.7小时
- 虫号: 1384648
- 注册: 2011-08-31
- 性别: GG
- 专业: 光学

2楼2014-11-14 10:53:56
3楼2020-05-21 20:32:13
4楼2022-08-19 11:34:43
5楼2022-08-22 12:23:13















回复此楼
10