| 查看: 341 | 回复: 2 | ||
[求助]
偏微-动边界条件下的瞬间面源扩散
|
|
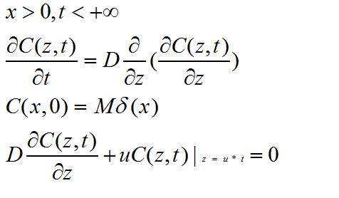
问题是这样的:瞬间面源在半无界空间扩散,上表面(z=0)以速度u被侵蚀掉(边界向下移动),方程和初边界条件如图所示 。难点是边界为第三类边界条件,而且边界位置还在移动。小弟是学自然地理的,这个方程实在是解不出来,希望各位大神能够帮帮忙,本人是新手,只有5个金币,如果能够帮我解答一下,实在感激不尽! 123.JPG |
» 猜你喜欢
AI 太可怕了,写基金时,提出想法,直接生成的文字比自己想得深远,还有科学性
已经有3人回复
有院领导为了换新车,用横向课题经费买了俩车
已经有9人回复
酰胺脱乙酰基
已经有13人回复
博士延得我,科研能力直往上蹿
已经有8人回复
同年申请2项不同项目,第1个项目里不写第2个项目的信息,可以吗
已经有4人回复
有时候真觉得大城市人没有县城人甚至个体户幸福
已经有10人回复
天津大学招2026.09的博士生,欢迎大家推荐交流(博导是本人)
已经有5人回复
CSC & MSCA 博洛尼亚大学能源材料课题组博士/博士后招生|MSCA经费充足、排名优
已经有6人回复
遇见不省心的家人很难过
已经有22人回复
2楼2014-09-05 20:39:23
3楼2014-09-05 20:49:58













回复此楼