| ²é¿´: 818 | »Ø¸´: 1 | ||
jshaxtfľ³æ (СÓÐÃûÆø)
|
[ÇóÖú]
¹ØÓÚindex notationÖ¤Ã÷µÄÇó½Ì
|
|
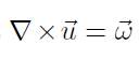
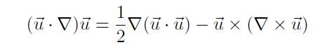
ÒÀÈ»ÊÇÕÅÁ¿·ÖÎöµÄÎÊÌâ ÒÑÖª£º ÒªÖ¤Ã÷£º ¸ø³öµÄ˼·ÊÇ£ºÁ È»ºó´ÓÓÒÍù×óÖ¤Ã÷ ÊÔÁ˺þû¹ÊÇŪ²»³öÀ´ Çó½ÌÏêϸ¹ý³Ì.... |
» ²ÂÄãϲ»¶
0817 »¯Ñ§¹¤³Ì 299·ÖÇóµ÷¼Á ÓпÆÑоÀú ÓжþÇøÎÄÕÂ
ÒѾÓÐ4È˻ظ´
0854¿É¿çµ÷¼Á£¬Ò»×÷Ò»ÏîºËÐÄÂÛÎÄÎåÏîרÀû£¬Ê¡¡¢¹ú¼¶Ö¤Êé40+ÊýÒ»Ó¢Ò»287
ÒѾÓÐ5È˻ظ´
070300»¯Ñ§319Çóµ÷¼Á
ÒѾÓÐ6È˻ظ´
Ò»Ö¾Ô¸985£¬±¾¿Æ211£¬0817»¯Ñ§¹¤³ÌÓë¼¼Êõ319Çóµ÷¼Á
ÒѾÓÐ6È˻ظ´
Ò»Ö¾Ô¸Î÷ÄϽ»´ó£¬Çóµ÷¼Á
ÒѾÓÐ3È˻ظ´
286Çóµ÷¼Á
ÒѾÓÐ6È˻ظ´
½¹ÂÇ
ÒѾÓÐ11È˻ظ´
331Çóµ÷¼Á£¨0703Óлú»¯Ñ§
ÒѾÓÐ7È˻ظ´
298-Ò»Ö¾Ô¸Öйúũҵ´óѧ-Çóµ÷¼Á
ÒѾÓÐ5È˻ظ´
297Çóµ÷¼Á
ÒѾÓÐ5È˻ظ´
jshaxtf
ľ³æ (СÓÐÃûÆø)
- Ó¦Öú: 3 (Ó×¶ùÔ°)
- ½ð±Ò: 2123.3
- ºì»¨: 15
- Ìû×Ó: 247
- ÔÚÏß: 122.7Сʱ
- ³æºÅ: 974665
- ×¢²á: 2010-03-18
- ÐÔ±ð: MM
- רҵ: ȼÉÕѧ
2Â¥2014-09-03 10:32:37













»Ø¸´´ËÂ¥
5