| 查看: 486 | 回复: 3 | |||
wangxd369268木虫 (正式写手)
|
[求助]
求反函数
|
|
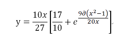
有一个方程,算了好久也没求出反函数,没法了,求助各位大神: y=(10/27)*x*[1.7+exp(9a(x^2 -1)/20x)] 要求出反函数,里边的a是个系数,多谢。函数也可请见图片 反函数.gif |
» 猜你喜欢
天津大学招2026.09的博士生,欢迎大家推荐交流(博导是本人)
已经有3人回复
有时候真觉得大城市人没有县城人甚至个体户幸福
已经有6人回复
面上项目申报
已经有3人回复
酰胺脱乙酰基
已经有9人回复
CSC & MSCA 博洛尼亚大学能源材料课题组博士/博士后招生|MSCA经费充足、排名优
已经有5人回复
博士延得我,科研能力直往上蹿
已经有7人回复
退学或坚持读
已经有27人回复
面上基金申报没有其他的参与者成吗
已经有5人回复
遇见不省心的家人很难过
已经有22人回复
feixiaolin
荣誉版主 (文坛精英)
-

专家经验: +518 - 应助: 942 (博后)
- 贵宾: 1.275
- 金币: 3430
- 散金: 58785
- 红花: 532
- 沙发: 11
- 帖子: 24215
- 在线: 2601.8小时
- 虫号: 2139575
- 注册: 2012-11-21
- 专业: 光学信息获取与处理
- 管辖: 数学
2楼2014-08-10 14:57:09
wangxd369268
木虫 (正式写手)
- 应助: 3 (幼儿园)
- 金币: 3436.2
- 红花: 7
- 帖子: 400
- 在线: 241.1小时
- 虫号: 1547736
- 注册: 2011-12-22
- 专业: 结构工程
3楼2014-08-10 15:03:04
wangxd369268
木虫 (正式写手)
- 应助: 3 (幼儿园)
- 金币: 3436.2
- 红花: 7
- 帖子: 400
- 在线: 241.1小时
- 虫号: 1547736
- 注册: 2011-12-22
- 专业: 结构工程
4楼2014-08-11 17:16:57













回复此楼