| ²é¿´: 734 | »Ø¸´: 0 | ||
CGM-XA½ð³æ (СÓÐÃûÆø)
|
[ÇóÖú]
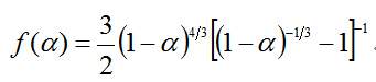
ÓÃmakel·¨Çó³öµÄָǰÒò×ÓΪ¸ºÖµ
|
|
ÔÚÓÃMakel ·¨¸ø³öµÄ¹«Ê½ÇóָǰÒò×Óʱ£¬ÇóµÄֵΪ¸ºÖµ£¬²ÉÓõĻúÀíº¯ÊýΪZ-L-T·½³Ì£¬ÇóÖ¸µã£¬Ð»Ð»¡£ Makel·¨¸ø³öµÄÇóAµÄ¹«Ê½ »úÀíº¯ÊýΪZ-L-T·½³Ì |
» ²ÂÄãϲ»¶
´óÁ¬º£Ê´óѧ´¬²°½à¾»ÄÜÔ´Ñо¿ÖÐÐÄ2026Ä격ʿÑо¿ÉúÕÐÉúÆôÊÂ
ÒѾÓÐ10È˻ظ´
Çó IEC 61340-4-11:2025
ÒѾÓÐ0È˻ظ´
רҵÂÛÎÄÈóÉ«/·ÒëÔõôÊÕ·Ñ?
ÒѾÓÐ248È˻ظ´
Î人·ÄÖ¯´óѧȫ¹úÖØµãʵÑéÊÒ³ÂáɽÌÊÚÍŶÓÕÐÊÕ2026¼¶Ñ§Êõ/רҵÐÍ˶ʿÑо¿Éú£¨µ÷¼Á£©
ÒѾÓÐ0È˻ظ´
ÇóÖúÄÄÀï¿ÉÒÔ×ö¹â´ß»¯²úÇâµÄ·Å´óʵÑé
ÒѾÓÐ17È˻ظ´
ÕÐÉúÌû
ÒѾÓÐ6È˻ظ´
ºîÐñ¿ÎÌâ×é(»¯Ñ§¡¢»¯¹¤¡¢»·¾³¡¢ÄÜÔ´Ïà¹Ø·½Ïò)»¶ÓÄãµÄ¼ÓÈë
ÒѾÓÐ28È˻ظ´
ÇóÒ»¸ö»¯ºÏÎïµÄÃüÃû
ÒѾÓÐ3È˻ظ´
¹ú¼Ò¼¶È˲ÅÍÅÌå¿ÎÌâ×éÕÐÊÕ2026½ì»¯Ñ§Ààѧ˶£¬×¨Ë¶¡£
ÒѾÓÐ0È˻ظ´
½Î÷ʦ·¶´óѧÍõÀ¥-¬Õ»ԿÎÌâ×éÕл¯Ñ§·½Ïò˶ʿÑо¿ÉúÁ½Ãû
ÒѾÓÐ1È˻ظ´
µ÷¼Á
ÒѾÓÐ1È˻ظ´













»Ø¸´´ËÂ¥