24СʱÈÈÃŰæ¿éÅÅÐаñ    

±±¾©Ê¯ÓÍ»¯¹¤Ñ§Ôº2026ÄêÑо¿ÉúÕÐÉú½ÓÊÕµ÷¼Á¹«¸æ
²é¿´: 354  |  »Ø¸´: 2

growlywolf

½ð³æ (СÓÐÃûÆø)

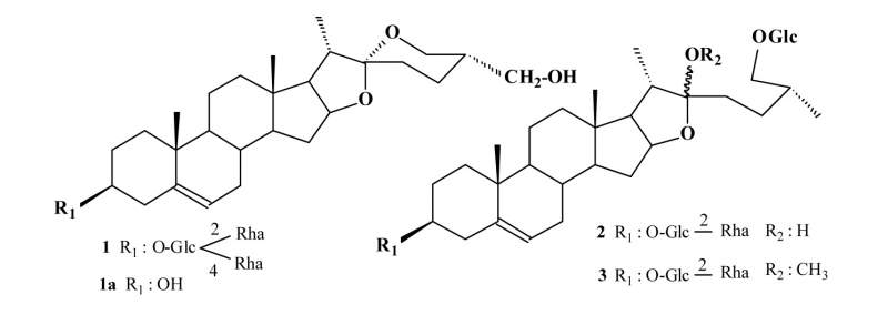
[ÇóÖú] ÇóÖúÒ»¸ö»¯ºÏÎïOrbiculatoside BµÄÍêÕû½á¹¹Ê½

¸Õ¸ÕÉæ×ãÒ©ÎïÕâ¿é¶ù£¬Óлú»¯Ñ§²»Ì«Ê죬ÇóͼÖÐCompound 1µÄÏêϸ½á¹¹Ê½
ÇóÖúÒ»¸ö»¯ºÏÎïOrbiculatoside BµÄÍêÕû½á¹¹Ê½
»Ø¸´´ËÂ¥

» ±¾Ìû¸½¼þ×ÊÔ´Áбí

  • »¶Ó­¼à¶½ºÍ·´À¡£ºÐ¡Ä¾³æ½öÌṩ½»Á÷ƽ̨£¬²»¶Ô¸ÃÄÚÈݸºÔð¡£
    ±¾ÄÚÈÝÓÉÓû§×ÔÖ÷·¢²¼£¬Èç¹ûÆäÄÚÈÝÉæ¼°µ½ÖªÊ¶²úȨÎÊÌ⣬ÆäÔðÈÎÔÚÓÚÓû§±¾ÈË£¬Èç¶Ô°æÈ¨ÓÐÒìÒ飬ÇëÁªÏµÓÊÏ䣺xiaomuchong@tal.com
  • ¸½¼þ 1 : ANewSteroidalSap_Ê¡ÂÔ_llvar_orbiculata_56c.pdf
  • 2014-08-07 16:39:29, 102.93 K

» ²ÂÄãϲ»¶

» ±¾Ö÷ÌâÏà¹Ø¼ÛÖµÌùÍÆ¼ö£¬¶ÔÄúͬÑùÓаïÖú:

ÒÑÔÄ   »Ø¸´´ËÂ¥   ¹Ø×¢TA ¸øTA·¢ÏûÏ¢ ËÍTAºì»¨ TAµÄ»ØÌû

zhutao41

ÖÁ×ðľ³æ (ÖøÃûдÊÖ)

°ÑÌÇ»ùÁ¬ÉÏÈ¥¾ÍÊÇÁËѽ
2Â¥2014-08-07 20:56:12
ÒÑÔÄ   »Ø¸´´ËÂ¥   ¹Ø×¢TA ¸øTA·¢ÏûÏ¢ ËÍTAºì»¨ TAµÄ»ØÌû

growlywolf

½ð³æ (СÓÐÃûÆø)

ÒýÓûØÌû:
2Â¥: Originally posted by zhutao41 at 2014-08-07 20:56:12
°ÑÌÇ»ùÁ¬ÉÏÈ¥¾ÍÊÇÁËѽ

Óлú»¯Ñ§ÒѾ­ÍüµÃ²î²»¶à£¬ÌÇ»·ÉÏÄĸö̼ÐγÉÌÇÜÕ¼üÍêȫû¸ÅÄîÁË¡­¡­
3Â¥2014-08-08 09:45:57
ÒÑÔÄ   »Ø¸´´ËÂ¥   ¹Ø×¢TA ¸øTA·¢ÏûÏ¢ ËÍTAºì»¨ TAµÄ»ØÌû
Ïà¹Ø°æ¿éÌø×ª ÎÒÒª¶©ÔÄÂ¥Ö÷ growlywolf µÄÖ÷Ìâ¸üÐÂ
×î¾ßÈËÆøÈÈÌûÍÆ¼ö [²é¿´È«²¿] ×÷Õß »Ø/¿´ ×îºó·¢±í
[¿¼ÑÐ] ²ÄÁÏר˶322·Ö +11 ¹þ¹þ¹þºðºðºð¹þ 2026-04-02 11/550 2026-04-04 23:37 by ÓÀ×ÖºÅ
[¿¼ÑÐ] 283·ÖÇóµ÷¼Á +7 СÄô°®Ñ§Ï° 2026-04-03 7/350 2026-04-04 21:51 by hemengdong
[¿¼ÑÐ] »·¾³¿ÆÑ§Ó빤³Ì334·ÖÇóµ÷¼Á +9 ÍõÒ»Ò»ÒÀÒÀ 2026-03-30 12/600 2026-04-04 20:55 by dongzh2009
[¿¼ÑÐ] 338Çóµ÷¼Á +7 êɹ¦? 2026-04-03 7/350 2026-04-04 20:37 by À¶ÔÆË¼Óê
[¿¼ÑÐ] ÇóÉúÎïѧרҵµ÷¼Á-332·Ö +5 ÔÆ¶äåÞÍäÖ¸ÄÏ 2026-04-04 5/250 2026-04-04 10:05 by rzh123456
[¿¼ÑÐ] ÊýÒ»Ó¢Ò»274»úеµ÷¼Á +4 ÐÇÔÉÁ÷ϼ 2026-04-04 5/250 2026-04-04 09:35 by liucky
[¿¼ÑÐ] Çó²ÄÁϵ÷¼Á£¬Ò»Ö¾Ô¸Ö£ÖÝ´óѧ289·Ö +15 ˶ÐǸ° 2026-04-03 15/750 2026-04-04 01:01 by userper
[¿¼ÑÐ] 320µ÷¼Á +4 ũҵ¹¤³ÌÓëÐÅÏ¢¼ 2026-04-03 4/200 2026-04-03 21:40 by lbsjt
[¿¼ÑÐ] Çóµ÷¼Á +3 wos666 2026-04-03 3/150 2026-04-03 21:36 by lbsjt
[¿¼ÑÐ] 334Çóµ÷¼Á +9 Trying] 2026-03-31 9/450 2026-04-03 15:18 by ×ÁçíØ¼
[¿¼ÑÐ] ÊýÒ»Ó¢Ò»285Çóµ÷¼Á +7 AZMK 2026-04-03 9/450 2026-04-03 13:03 by ms629
[¿¼ÑÐ] 081200-11408-276ѧ˶Çóµ÷¼Á +6 ´Þwj 2026-04-02 6/300 2026-04-03 10:19 by À¶ÔÆË¼Óê
[¿¼ÑÐ] »·¾³¹¤³Ì297·ÖÇóµ÷¼ÁÒ»Ö¾Ô¸º¼¸ßÔº +15 GENJIOW 2026-03-31 16/800 2026-04-02 17:56 by cyh¡ª315
[¿¼ÑÐ] °²È«¹¤³Ì 285 Çóµ÷¼Á +3 Xinyu56 2026-04-01 4/200 2026-04-01 21:50 by ¾²¾²¾²¾²¾²¾²¾²¾
[¿¼ÑÐ] 284Çóµ÷¼Á +12 СÐÜ¡«¡« 2026-03-31 12/600 2026-04-01 20:23 by »¨??
[¿¼ÑÐ] 379Çóµ÷¼Á +3 ?¿à¹Ï²»¿à 2026-04-01 3/150 2026-04-01 20:09 by ÄºÔÆÇ庮
[¿¼ÑÐ] 08¹¤¿Æ£¬295£¬½ÓÊÜ¿çרҵµ÷¼Á +6 lmnlzy 2026-03-31 6/300 2026-04-01 11:02 by ÄæË®³Ë·ç
[¿¼ÑÐ] 0710ÉúÎïѧÇóµ÷¼Á£¡ +6 ÐðÊöÎÄ 2026-03-31 6/300 2026-04-01 09:39 by JourneyLucky
[¿¼ÑÐ] 370Çóµ÷¼Á +3 080700µ÷¼Á 2026-03-30 3/150 2026-03-31 01:09 by A_Zhe
[¿¼ÑÐ] 085602 »¯Ñ§¹¤³Ìר˶ 340·ÖÇóµ÷¼Á +4 qianbai11 2026-03-29 4/200 2026-03-30 11:34 by ÌÆãå¶ù
ÐÅÏ¢Ìáʾ
ÇëÌî´¦ÀíÒâ¼û