| ²é¿´: 464 | »Ø¸´: 2 | |||
shq2113046гæ (ÕýʽдÊÖ)
|
[½»Á÷]
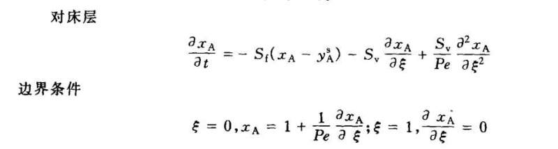
ÇëÎÊÕâÖÖÆ«Î¢·Ö·½³ÌÔõôÓÐÏÞ²î·ÖÊýÖµÇó½â£¿
|
|
ÎÄÏ×Öиø³öµÄÇó½âÖ»ÊÇÒ»±Ê´ø¹ý ¿ÉÊÇÎÒ²»ÊÇÌ«Ã÷ÁË ¿É·ñÇë¸ßÊÖÔÙÖ¸µãÏ ÔÎÄ×÷ÕßÊÇÔõÑùÓÐÏÞ²î·ÖÇó½âµÄ ²¢ÇÒ¿É·ñ¸ø³öÓÃmatlabÀ´ÊµÏֵIJο¼´úÂë ²»Ê¤¸Ðл ¹Ì¶¨´²²ãÁ÷¶¯ÏàŨ¶Èƫ΢·Ö·½³Ì.jpg |
» ±¾Ìû¸½¼þ×ÊÔ´Áбí
-
»¶Ó¼à¶½ºÍ·´À¡£ºÐ¡Ä¾³æ½öÌṩ½»Á÷ƽ̨£¬²»¶Ô¸ÃÄÚÈݸºÔð¡£
±¾ÄÚÈÝÓÉÓû§×ÔÖ÷·¢²¼£¬Èç¹ûÆäÄÚÈÝÉæ¼°µ½ÖªÊ¶²úȨÎÊÌ⣬ÆäÔðÈÎÔÚÓÚÓû§±¾ÈË£¬Èç¶Ô°æÈ¨ÓÐÒìÒ飬ÇëÁªÏµÓÊÏ䣺xiaomuchong@tal.com - ¸½¼þ 1 : ½þ×Õ»îÐÔÌ¿ÍѳýH_2S¹Ì¶¨´²·´Ó¦Æ÷Ä£ÐÍ_ÊýÖµ·ÖÎö_̷Сҫ.pdf
2014-08-04 09:57:30, 403.38 K
» ²ÂÄãϲ»¶
É¢½ð±Ò£¬ÇóºÃÔË£¬×£ÃæÉÏ˳Àû£¡
ÒѾÓÐ81È˻ظ´
»ª¶«Ê¦·¶´óѧоƬÉè¼ÆÐìççÕæÊµË®Æ½Õ¦Ñù
ÒѾÓÐ1È˻ظ´
ÎïÀíѧIÂÛÎÄÈóÉ«/·ÒëÔõôÊÕ·Ñ?
ÒѾÓÐ58È˻ظ´
µ÷¼Á
ÒѾÓÐ0È˻ظ´
¡¾ÐÂ¼ÓÆÂ¡¿ÄÉÃ×µç×ÓÆ÷¼þÏîÄ¿×éÓС°ÁªºÏÅàÑø²©Ê¿Éú¡±Ãû¶î
ÒѾÓÐ0È˻ظ´
Öе²©Ê¿ºó2026ÏîÄ¿5ÔÂ30ÈÕ½ØÖ¹- ¹úÄÚ²©Ê¿ºóÈëÕ¾¡¢µÂ¹úÁ½Äêȫְ
ÒѾÓÐ0È˻ظ´
ÃæÏòÈ«ÇòÉêÇëÈ˵ÄÖе²©Ê¿ºó2026ÏîÄ¿5ÔÂ30ÈÕ½ØÖ¹- ¹úÄÚ²©ºóÈëÕ¾µÂ¹úÁ½Äêȫְ
ÒѾÓÐ0È˻ظ´
¡¾ÐÂ¼ÓÆÂ¡¿ÄÉÃ×µç×ÓÆ÷¼þÏîÄ¿×éÓС°ÁªºÏÅàÑø²©Ê¿Éú¡±Ãû¶î
ÒѾÓÐ2È˻ظ´
ÖØÇì½»´ó²ÄÁÏѧԺ26Äê˶ʿÕÐÉú¸´ÊÔʵʩϸÔòÒѳö¡£»¶Ó¼ÓÈë¹â×Óѧ΢½á¹¹ÓëÆ÷¼þ¿ÎÌâ×é¡£
ÒѾÓÐ0È˻ظ´
±±¹¤´óËÎÏþÑÞ½ÌÊÚÍŶÓÕÐÊÕ2026Äê9ÔÂÈëѧ²©Ê¿¡¾Ñ§²©ºÍר²©Ãû¶î¾ùÓС¿£¡
ÒѾÓÐ1È˻ظ´
Ìì½ò³Ç½¨´óѧÀíѧԺ»¯Ñ§¡¢»·¾³¹¤³Ì¡¢²ÄÁÏÎïÀíµÈ·½Ïò½ÓÊÕ10ÈË
ÒѾÓÐ0È˻ظ´
shq2113046
гæ (ÕýʽдÊÖ)
| ¶¥ |
2Â¥2014-08-04 09:55:31
shq2113046
гæ (ÕýʽдÊÖ)
- Ó¦Öú: 11 (СѧÉú)
- ½ð±Ò: 958
- ºì»¨: 3
- Ìû×Ó: 324
- ÔÚÏß: 81.9Сʱ
- ³æºÅ: 2125121
- ×¢²á: 2012-11-13
- רҵ: »úе²âÊÔÀíÂÛÓë¼¼Êõ
3Â¥2014-08-04 17:13:07














»Ø¸´´ËÂ¥