| 查看: 901 | 回复: 3 | |
laiwuljj木虫 (著名写手)
|
[求助]
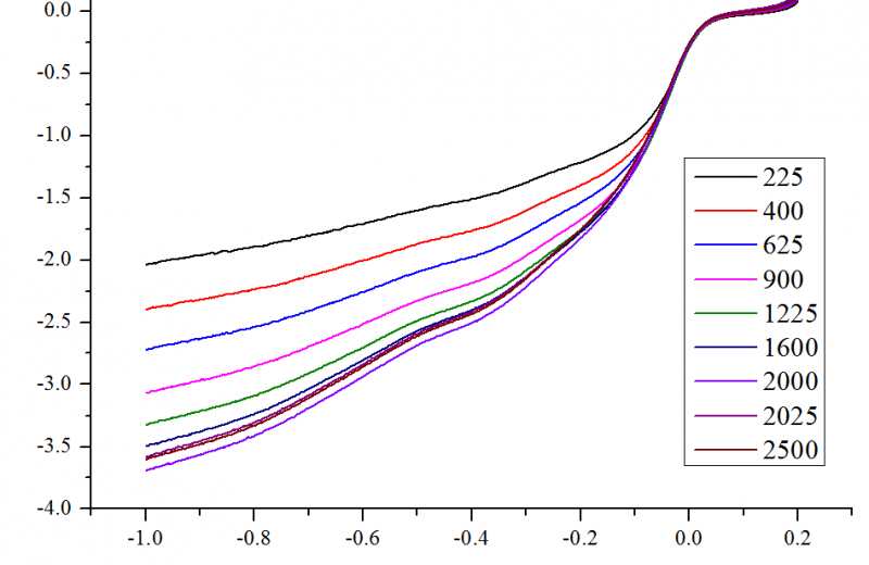
LSV 转速增大极限电流变小 已有2人参与
|
|
|
|
|
2楼2014-07-31 04:32:02
|
|
你菜菜木虫 (小有名气)
|
|
![]() |
|
|
3楼2014-11-06 09:42:09
|
|
![]() |
|
|
4楼2016-08-22 23:24:08
|
|













回复此楼
