24小时热门版块排行榜    

北京石油化工学院2026年研究生招生接收调剂公告
查看: 231  |  回复: 0

zcy_langmuir

铁杆木虫 (正式写手)

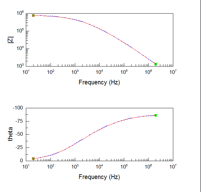
[求助] 阻抗拟合

第一次接触阻抗拟合,看了一些资料也没有明白。如图,该用什么样的原件进行拟合,测的是圆片电容器,文献中说有三部分贡献,电极接触,晶界效应,本征部分。求高手指教!!!

阻抗拟合
1.png


阻抗拟合-1
2.png
回复此楼
文化可以用四句话表达:植根于内心的修养;无需提醒的自觉;以约束为前提的自由;为别人着想的善良。
已阅   回复此楼   关注TA 给TA发消息 送TA红花 TA的回帖
相关版块跳转 我要订阅楼主 zcy_langmuir 的主题更新
最具人气热帖推荐 [查看全部] 作者 回/看 最后发表
[考研] 一志愿郑州大学,080500学硕,总分317分求调剂 +4 举个栗子oi 2026-03-24 5/250 2026-03-26 23:15 by 不吃魚的貓
[考研] 考研调剂 +8 呼呼?~+123456 2026-03-24 8/400 2026-03-26 23:04 by 不吃魚的貓
[考研] 【双一流院校新能源、环境材料,材料加工与模拟招收大量调剂】 +4 Higraduate 2026-03-22 8/400 2026-03-26 20:34 by Higraduate
[考研] 材料与化工304求B区调剂 +3 邱gl 2026-03-26 6/300 2026-03-26 18:03 by 邱gl
[考研] 085601求调剂总分293英一数二 +4 钢铁大炮 2026-03-24 4/200 2026-03-26 16:28 by dick_runner
[考研] 297求调剂 +6 田洪有 2026-03-26 6/300 2026-03-26 15:55 by 不吃魚的貓
[考研] 一志愿天津大学339材料与化工求调剂 +3 江往卖鱼 2026-03-26 3/150 2026-03-26 09:42 by 王小欠i
[考研] 机械学硕总分317求调剂!!!! +4 Acaciad 2026-03-25 4/200 2026-03-25 19:59 by hanserlol
[考研] 0854人工智能方向招收调剂 +4 章小鱼567 2026-03-24 4/200 2026-03-25 13:29 by 2177681040
[考研] 285求调剂 +3 AZMK 2026-03-24 3/150 2026-03-25 12:23 by userper
[考研] 282求调剂 +3 wcq131415 2026-03-24 3/150 2026-03-25 12:16 by userper
[考研] 求调剂323材料与化工 +4 1124361 2026-03-24 4/200 2026-03-25 11:19 by shulmg
[考研] 311求调剂 +3 冬十三 2026-03-24 3/150 2026-03-24 21:31 by peike
[有机交流] 有机合成求助 20+3 FENGSHUJEI 2026-03-23 5/250 2026-03-24 19:31 by 88817753
[考研] 材料292调剂 +8 橘颂思美人 2026-03-23 8/400 2026-03-24 16:33 by laoshidan
[考研] 300求调剂,材料科学英一数二 +5 leaflight 2026-03-24 5/250 2026-03-24 16:25 by laoshidan
[考研] 材料专硕331求调剂 +4 鲜当牛 2026-03-24 4/200 2026-03-24 15:58 by JourneyLucky
[考研] 344求调剂 +3 desto 2026-03-24 3/150 2026-03-24 10:09 by 搏击518
[考研] 341求调剂(一志愿湖南大学070300) +5 番茄头--- 2026-03-22 6/300 2026-03-23 23:45 by Txy@872106
[考研] 一志愿华中农业071010,总分320求调剂 +5 困困困困坤坤 2026-03-20 6/300 2026-03-22 17:41 by hxsm
信息提示
请填处理意见