| ²é¿´: 720 | »Ø¸´: 5 | |||
mxl2008scu½ð³æ (ÕýʽдÊÖ)
|
[ÇóÖú]
ÓйØÈ¾ÁϳýÔÓ£¬ÇóÖú¸ßÈËÖ¸µã ÒÑÓÐ2È˲ÎÓë
|
|
ÓйØÈ¾ÁϳýÔÓ£¬ÇóÖú¸ßÈË£¬ÓÐһϺϳÉ·Ïߣ¬ÏëÖªµÀ²úÎïÀïÃæÓÐÄÄЩÔÓÖÊÒ»Æð³ýÔÓ·½·¨£¬¿ÞÇó´óÏÀÖ¸µã¡£²»Éõ¸Ð¼¤¡£ mxl.JPG |
» ²ÂÄãϲ»¶
µ÷¼ÁÍÆ¼ö
ÒѾÓÐ5È˻ظ´
Öйú¿ÆÑ§ÔºÉîÛÚÏȽø¼¼ÊõÑо¿Ôº-¹âÏË´«¸Ð¿ÎÌâ×éÕÐÉú-Öйú¿ÆÑ§Ôº´óѧ¡¢ÉîÛÚÀí¹¤´óѧÁªÅà
ÒѾÓÐ4È˻ظ´
×Ü·Ö322ÇóÉúÎïѧ/Éú»¯Óë·Ö×Ó/ÉúÎïÐÅϢѧÏà¹Øµ÷¼Á
ÒѾÓÐ5È˻ظ´
0703»¯Ñ§338Çóµ÷¼Á£¡
ÒѾÓÐ3È˻ظ´
284Çóµ÷¼Á
ÒѾÓÐ7È˻ظ´
271Çóµ÷¼Á
ÒѾÓÐ6È˻ظ´
312Çóµ÷¼Á
ÒѾÓÐ9È˻ظ´
352Çóµ÷¼Á
ÒѾÓÐ4È˻ظ´
085602»¯Ñ§¹¤³ÌÇóµ÷¼Á¡£
ÒѾÓÐ3È˻ظ´
085600²ÄÁÏÓ뻯¹¤306
ÒѾÓÐ6È˻ظ´

mxl2008scu
½ð³æ (ÕýʽдÊÖ)
- Ó¦Öú: 11 (СѧÉú)
- ½ð±Ò: 930.1
- ºì»¨: 10
- Ìû×Ó: 377
- ÔÚÏß: 124.8Сʱ
- ³æºÅ: 1111188
- ×¢²á: 2010-09-29
- ÐÔ±ð: MM
- רҵ: Ò©Îï·ÖÎö

2Â¥2014-07-27 10:59:28
justforjoy
ľ³æ (ÖøÃûдÊÖ)
- Ó¦Öú: 388 (˶ʿ)
- ½ð±Ò: 4671.9
- É¢½ð: 3193
- ºì»¨: 27
- ɳ·¢: 7
- Ìû×Ó: 2327
- ÔÚÏß: 562.2Сʱ
- ³æºÅ: 1172958
- ×¢²á: 2010-12-19
- ÐÔ±ð: GG
- רҵ: ÓлúºÏ³É
¡¾´ð°¸¡¿Ó¦Öú»ØÌû
¡ï ¡ï
¸Ðл²ÎÓ룬ӦÖúÖ¸Êý +1
udarling: ½ð±Ò+2, ¹ÄÀø·¢Ìù½»Á÷£¡ 2014-07-28 11:19:56
¸Ðл²ÎÓ룬ӦÖúÖ¸Êý +1
udarling: ½ð±Ò+2, ¹ÄÀø·¢Ìù½»Á÷£¡ 2014-07-28 11:19:56
|
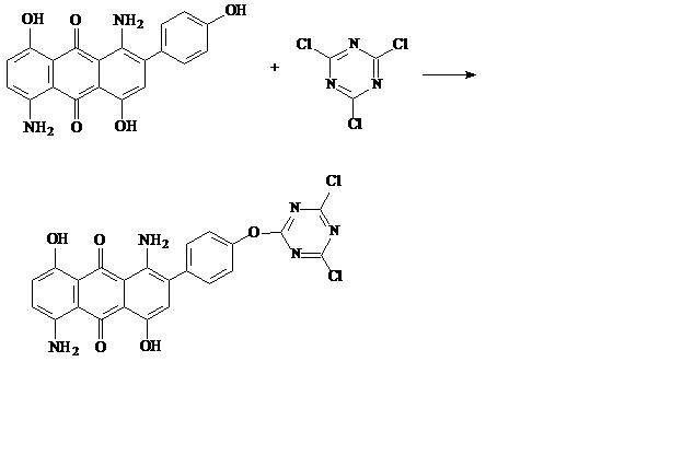
ÂÔ¾¡±¡Á¦£¬ÕâÊÇÔÁϵÄ: CAS Registry Number: 13716-91-1 C20 H14 N2 O5 9,10-Anthracenedione, 1,5-diamino-4,8-dihydroxy-2-(4-hydroxyphenyl)- Anthraquinone, 1,5-diamino-4,8-dihydroxy-2-(p-hydroxyphenyl)- (7CI); 1,5-Diamino-4,8-dihydroxy-2-(4-hydroxyphenyl)anthraquinone ¸Ð¾õ·Ïß²»ÊÇÌ«ºÃ°¡£¬ÒªÊÇŪ¸ö»ùÍű£»¤Íѱ£»¤µÄ£¬¶ÔÓÚȾÁÏÀ´½²ÊDz»Êdzɱ¾Ò²²»ºÏÊʰ¡ |
» ±¾Ìû¸½¼þ×ÊÔ´Áбí
-
»¶Ó¼à¶½ºÍ·´À¡£ºÐ¡Ä¾³æ½öÌṩ½»Á÷ƽ̨£¬²»¶Ô¸ÃÄÚÈݸºÔð¡£
±¾ÄÚÈÝÓÉÓû§×ÔÖ÷·¢²¼£¬Èç¹ûÆäÄÚÈÝÉæ¼°µ½ÖªÊ¶²úȨÎÊÌ⣬ÆäÔðÈÎÔÚÓÚÓû§±¾ÈË£¬Èç¶Ô°æÈ¨ÓÐÒìÒ飬ÇëÁªÏµÓÊÏ䣺xiaomuchong@tal.com - ¸½¼þ 1 : Substance_07_27_2014_154431.pdf
2014-07-27 15:48:35, 14.68 K
3Â¥2014-07-27 15:52:12
TXJ2013
ר¼Ò¹ËÎÊ (Ö°Òµ×÷¼Ò)
-

ר¼Ò¾Ñé: +814 - FC-EPI: 1
- Ó¦Öú: 868 (²©ºó)
- ¹ó±ö: 0.552
- ½ð±Ò: 14807.1
- É¢½ð: 121
- ºì»¨: 67
- Ìû×Ó: 3848
- ÔÚÏß: 475.7Сʱ
- ³æºÅ: 2424044
- ×¢²á: 2013-04-18
- ÐÔ±ð: GG
- רҵ: Óлú»¯Ñ§
- ¹ÜϽ: ¾«Ï¸»¯¹¤

4Â¥2014-07-27 20:31:37
mxl2008scu
½ð³æ (ÕýʽдÊÖ)
- Ó¦Öú: 11 (СѧÉú)
- ½ð±Ò: 930.1
- ºì»¨: 10
- Ìû×Ó: 377
- ÔÚÏß: 124.8Сʱ
- ³æºÅ: 1111188
- ×¢²á: 2010-09-29
- ÐÔ±ð: MM
- רҵ: Ò©Îï·ÖÎö

5Â¥2014-07-28 16:51:54
mxl2008scu
½ð³æ (ÕýʽдÊÖ)
- Ó¦Öú: 11 (СѧÉú)
- ½ð±Ò: 930.1
- ºì»¨: 10
- Ìû×Ó: 377
- ÔÚÏß: 124.8Сʱ
- ³æºÅ: 1111188
- ×¢²á: 2010-09-29
- ÐÔ±ð: MM
- רҵ: Ò©Îï·ÖÎö

6Â¥2014-07-28 16:53:00













»Ø¸´´ËÂ¥