| 查看: 299 | 回复: 1 | |
suiyunxiao银虫 (正式写手)
|
[求助]
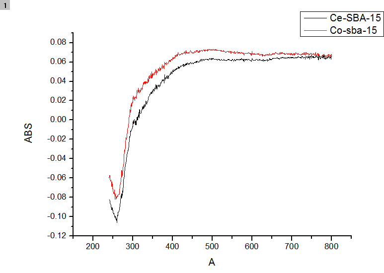
介孔SBA-15 参杂金属的紫外出现负吸收,是怎么回事。还有介孔SBA-15有荧光吸收吗? 已有1人参与
|
![]() |
|
|
|
|
lujingzhi金虫 (小有名气)
|
|
![]() |
|
|
2楼2014-08-20 20:52:13
|
|













回复此楼