版块导航
正在加载中...
客户端APP下载
论文辅导
申博辅导
登录
注册
帖子
帖子
用户
本版
应《网络安全法》要求,自2017年10月1日起,未进行实名认证将不得使用互联网跟帖服务。为保障您的帐号能够正常使用,请尽快对帐号进行手机号验证,感谢您的理解与支持!
24小时热门版块排行榜
>
论坛更新日志
(4021)
>
文献求助
(419)
>
虫友互识
(392)
>
导师招生
(371)
>
硕博家园
(236)
>
博后之家
(142)
>
招聘信息布告栏
(123)
>
休闲灌水
(112)
>
考博
(89)
>
论文投稿
(89)
>
考研
(75)
>
基金申请
(60)
>
教师之家
(57)
>
绿色求助(高悬赏)
(53)
>
公派出国
(40)
>
SciFinder/Reaxys
(35)
小木虫论坛-学术科研互动平台
»
计算模拟区
»
仿真模拟
»
MATLAB
»
哪位兄弟帮我在matlab里计算一下这个积分
8
1/1
返回列表
查看: 795 | 回复: 7
只看楼主
@他人
存档
新回复提醒
(忽略)
收藏
在APP中查看
shuangqingx
铁杆木虫
(著名写手)
宇宙超级无敌小菜鸟
应助: 10
(幼儿园)
金币: 5491.5
散金: 4056
红花: 32
帖子: 2006
在线: 227.5小时
虫号: 472069
注册: 2007-12-04
性别: GG
专业: 化学工程及工业化学
[
求助
]
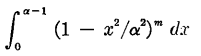
哪位兄弟帮我在matlab里计算一下这个积分
我的matlab因为是64位操作系统,不能运行字符变量。。。
哪位兄弟帮我在matlab别的版本里面算一下这个积分,谢谢了
回复此楼
» 猜你喜欢
最失望的一年
已经有17人回复
拟解决的关键科学问题还要不要写
已经有8人回复
为什么nbs上溴 没有产物点出现呢
已经有6人回复
求推荐博导
已经有4人回复
存款400万可以在学校里躺平吗
已经有34人回复
求助一下有机合成大神
已经有4人回复
求推荐英文EI期刊
已经有5人回复
26申博
已经有3人回复
基金委咋了?2026年的指南还没有出来?
已经有10人回复
疑惑?
已经有5人回复
» 本主题相关价值贴推荐,对您同样有帮助:
请问一下matlab这个是什么问题
已经有10人回复
哪位大神可以教教怎么用matlab计算孔隙率
已经有8人回复
哪位大神帮忙看一下MATLAB求解微分方程的问题?
已经有3人回复
matlab求函数积分出错
已经有12人回复
跪求大神帮看matlab小程序
已经有3人回复
求大神帮忙用MATLAB解一道积分题
已经有5人回复
大家帮忙看一个matlab的小程序,看看哪里出错了
已经有5人回复
matlab计算二重积分
已经有4人回复
matlab不定积分的问题
已经有10人回复
怎样用matlab列积分方程的曲线~~~~~~~
已经有8人回复
对于符号积分matlab积分积不出来怎么解决+有代码
已经有14人回复
MATLAB 7.0 大规模计算时 计算中止 CPU占用为0%
已经有6人回复
MATLAB一个数值积分的问题
已经有6人回复
请教大家一个反卷积的问题~~帮忙推导或者matlab编程计算~~
已经有5人回复
matlab中如何实现高精度计算
已经有4人回复
matlab中三重积分程序
已经有5人回复
matlab中系数是矩阵的积分
已经有5人回复
matlab 积分求助
已经有8人回复
matlab 积分计算 算不出结果,求帮助!!!
已经有10人回复
【求助】matlab 计算一个二重积分,高手们帮帮忙吧
已经有6人回复
【求助】如何利用matlab计算这个无穷级数的和
已经有12人回复
低调做人
1楼
2014-07-25 17:58:38
已阅
回复此楼
关注TA
给TA发消息
送TA红花
TA的回帖
zlt11
银虫
(小有名气)
应助: 1
(幼儿园)
金币: 464.1
红花: 1
帖子: 97
在线: 30.8小时
虫号: 2776766
注册: 2013-11-04
专业: 结构工程
点这里看答案
回复此楼
abracadabra
2楼
2014-10-06 10:48:28
已阅
回复此楼
关注TA
给TA发消息
送TA红花
TA的回帖
zlt11
银虫
(小有名气)
应助: 1
(幼儿园)
金币: 464.1
红花: 1
帖子: 97
在线: 30.8小时
虫号: 2776766
注册: 2013-11-04
专业: 结构工程
引用回帖:
2楼
:
Originally posted by
zlt11
at 2014-10-06 10:48:28
点这里看答案
点此处看答案
回复此楼
abracadabra
3楼
2014-10-06 10:55:06
已阅
回复此楼
关注TA
给TA发消息
送TA红花
TA的回帖
zlt11
银虫
(小有名气)
应助: 1
(幼儿园)
金币: 464.1
红花: 1
帖子: 97
在线: 30.8小时
虫号: 2776766
注册: 2013-11-04
专业: 结构工程
赞
一下
回复此楼
abracadabra
4楼
2014-10-06 11:07:27
已阅
回复此楼
关注TA
给TA发消息
送TA红花
TA的回帖
shuangqingx
铁杆木虫
(著名写手)
宇宙超级无敌小菜鸟
应助: 10
(幼儿园)
金币: 5491.5
散金: 4056
红花: 32
帖子: 2006
在线: 227.5小时
虫号: 472069
注册: 2007-12-04
性别: GG
专业: 化学工程及工业化学
引用回帖:
4楼
:
Originally posted by
zlt11
at 2014-10-06 11:07:27
谢谢这位兄台,你这是用的什么软件计算的?好像不是matlab,是Maple吗?还是别的什么软件?很强大啊
赞
一下
回复此楼
低调做人
5楼
2014-10-06 15:45:39
已阅
回复此楼
关注TA
给TA发消息
送TA红花
TA的回帖
zlt11
银虫
(小有名气)
应助: 1
(幼儿园)
金币: 464.1
红花: 1
帖子: 97
在线: 30.8小时
虫号: 2776766
注册: 2013-11-04
专业: 结构工程
引用回帖:
5楼
:
Originally posted by
shuangqingx
at 2014-10-06 15:45:39
谢谢这位兄台,你这是用的什么软件计算的?好像不是matlab,是Maple吗?还是别的什么软件?很强大啊
...
Mathematica
回复此楼
abracadabra
6楼
2014-10-07 20:05:04
已阅
回复此楼
关注TA
给TA发消息
送TA红花
TA的回帖
shuangqingx
铁杆木虫
(著名写手)
宇宙超级无敌小菜鸟
应助: 10
(幼儿园)
金币: 5491.5
散金: 4056
红花: 32
帖子: 2006
在线: 227.5小时
虫号: 472069
注册: 2007-12-04
性别: GG
专业: 化学工程及工业化学
引用回帖:
6楼
:
Originally posted by
zlt11
at 2014-10-07 20:05:04
Mathematica...
谢谢啊
回复此楼
低调做人
7楼
2014-10-08 07:48:33
已阅
回复此楼
关注TA
给TA发消息
送TA红花
TA的回帖
刘畅的用户名
木虫
(小有名气)
应助: 18
(小学生)
金币: 2591.1
红花: 1
帖子: 109
在线: 116.8小时
虫号: 1608906
注册: 2012-02-09
性别: GG
专业: 计算数学与科学工程计算
Matlab 同样可以运行符号运算,与你的操作系统无关。
[ 发自小木虫客户端 ]
赞
一下
回复此楼
8楼
2014-10-08 07:57:43
已阅
回复此楼
关注TA
给TA发消息
送TA红花
TA的回帖
相关版块跳转
第一性原理
量子化学
计算模拟
分子模拟
仿真模拟
程序语言
我要订阅楼主
shuangqingx
的主题更新
8
1/1
返回列表
如果回帖内容含有宣传信息,请如实选中。否则帐号将被全论坛禁言
普通表情
龙
兔
虎
猫
百度网盘
|
360云盘
|
千易网盘
|
华为网盘
在新窗口页面中打开自己喜欢的网盘网站,将文件上传后,然后将下载链接复制到帖子内容中就可以了。
信息提示
关闭
请填处理意见
关闭
确定