| 查看: 1154 | 回复: 1 | |
Jounry-Jo银虫 (小有名气)
|
[求助]
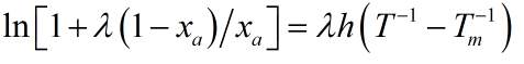
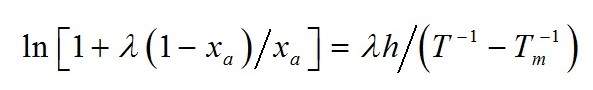
关于λh方程的正确写法
|
|
|
|
Jounry-Jo银虫 (小有名气)
|
|
|
2楼2014-07-23 19:28:47
|
|














回复此楼