| ²é¿´: 1074 | »Ø¸´: 7 | ||||
changle9139ÈÙÓþ°æÖ÷ (ÎÄ̳¾«Ó¢)
|
[ÇóÖú]
ʯÓÍÁó·ÖÏà¶Ô·Ö×ÓÁ¿µÄ¹ÀËã
|
|||
|
Ëä˵ÏÖÔÚÏà¶Ô·Ö×ÓÁ¿¿ÉÒÔ²âÊÔ µ«ÊǸоõ²âÊÔÖÜÆÚºÜ³¤ ÓÐʱºòÒ²²»ÊǺÜ×¼ Òò´ËÏëÎÊÏ¿ÉÒÔ¹ÀËã²» ÐèҪʲôÊý¾Ý½øÐйÀËã ÓÐʲô¾Ñ鹫ʽ |
» ²ÂÄãϲ»¶
274Çóµ÷¼Á
ÒѾÓÐ14È˻ظ´
±±¾©ÁÖÒµ´óѧ˶µ¼ÕÐÉú¹ã¸æ
ÒѾÓÐ3È˻ظ´
309Çóµ÷¼Á
ÒѾÓÐ5È˻ظ´
292Çóµ÷¼Á
ÒѾÓÐ8È˻ظ´
Çóµ÷¼Á
ÒѾÓÐ4È˻ظ´
Ò»Ö¾Ô¸ Î÷±±´óѧ ×Ü·Ö282 Ó¢ÓïÒ»62 Çóµ÷¼Á
ÒѾÓÐ3È˻ظ´
µ÷¼Á310
ÒѾÓÐ4È˻ظ´
±±¿Æ281ѧ˶²ÄÁÏÇóµ÷¼Á
ÒѾÓÐ16È˻ظ´
Ò»Ö¾Ô¸ÉϺ£½»´óÉúÎïÓëҽҩר˶324·Ö£¬Çóµ÷¼Á
ÒѾÓÐ6È˻ظ´
Ò»Ö¾Ô¸¹þ¹¤´ó£¬085400£¬320£¬Çóµ÷¼Á
ÒѾÓÐ4È˻ظ´
» ±¾Ö÷ÌâÏà¹ØÉ̼ÒÍÆ¼ö: (ÎÒÒ²ÒªÔÚÕâÀïÍÆ¹ã)
» ±¾Ö÷ÌâÏà¹Ø¼ÛÖµÌùÍÆ¼ö£¬¶ÔÄúͬÑùÓаïÖú:
ÄýÎöÓ͵ÄÕ³¶È¼ÆËã
ÒѾÓÐ16È˻ظ´
ÇëÎÊÈçºÎ¹ÀËãÁ¿×ÓµãµÄ·Ö×ÓÁ¿
ÒѾÓÐ6È˻ظ´

jackly78
Ìú¸Ëľ³æ (ÖøÃûдÊÖ)
- Ó¦Öú: 11 (СѧÉú)
- ¹ó±ö: 0.041
- ½ð±Ò: 15891.8
- É¢½ð: 34
- ºì»¨: 12
- Ìû×Ó: 2295
- ÔÚÏß: 333.9Сʱ
- ³æºÅ: 47343
- ×¢²á: 2004-06-05
- ÐÔ±ð: GG
- רҵ: ÄÜÔ´»¯¹¤
¡¾´ð°¸¡¿Ó¦Öú»ØÌû
¡ï ¡ï ¡ï ¡ï ¡ï ¡ï ¡ï ¡ï ¡ï ¡ï ¡ï ¡ï ¡ï ¡ï ¡ï ¡ï ¡ï ¡ï ¡ï ¡ï ¡ï ¡ï ¡ï ¡ï
Сľ³æ: ½ð±Ò+0.5, ¸ø¸öºì°ü£¬Ð»Ð»»ØÌû
billbier: ½ð±Ò+3, Ó¦ÖúÖ¸Êý+1, ÓÐЧӦÖú 2014-07-17 14:20:02
billbier: »ØÌûÖö¥ 2014-07-17 14:20:23
changle9139: ½ð±Ò+10, ¡ï¡ï¡ïºÜÓаïÖú, лл 2014-07-18 11:16:30
changle9139: ½ð±Ò+10, ¡ï¡ï¡ïºÜÓаïÖú, ÏÂÃæÄǸö²»ÄÜÆÀ·Ö£¬ÐÁ¿àÁË 2014-07-18 11:16:54
Сľ³æ: ½ð±Ò+0.5, ¸ø¸öºì°ü£¬Ð»Ð»»ØÌû
billbier: ½ð±Ò+3, Ó¦ÖúÖ¸Êý+1, ÓÐЧӦÖú 2014-07-17 14:20:02
billbier: »ØÌûÖö¥ 2014-07-17 14:20:23
changle9139: ½ð±Ò+10, ¡ï¡ï¡ïºÜÓаïÖú, лл 2014-07-18 11:16:30
changle9139: ½ð±Ò+10, ¡ï¡ï¡ïºÜÓаïÖú, ÏÂÃæÄǸö²»ÄÜÆÀ·Ö£¬ÐÁ¿àÁË 2014-07-18 11:16:54
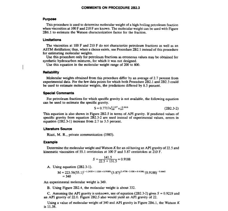
| ÎÒÔÚάÆÕÆÚ¿¯Êý¾Ý¿âÀï¼ìË÷ÁËһϣ¬²éµ½¼¸ÆªÎÄÕ¡£ÎÒ°ÑÕ⼸ƪÎÄÕºÍAPIÌá³öµÄ¼ÆË㹫ʽ·ÅÔÚ¸½¼þÀïÁË¡£ ÎÄÕÂÀïÉæ¼°µÄ·Ö×ÓÁ¿¼ÆË㹫ʽ£¬ÎÒ×Ô¼ºÑéÖ¤¹ý£¬Ô¤²â¾«¶È±È½Ï¸ß¡£ |
» ±¾Ìû¸½¼þ×ÊÔ´Áбí
-
»¶Ó¼à¶½ºÍ·´À¡£ºÐ¡Ä¾³æ½öÌṩ½»Á÷ƽ̨£¬²»¶Ô¸ÃÄÚÈݸºÔð¡£
±¾ÄÚÈÝÓÉÓû§×ÔÖ÷·¢²¼£¬Èç¹ûÆäÄÚÈÝÉæ¼°µ½ÖªÊ¶²úȨÎÊÌ⣬ÆäÔðÈÎÔÚÓÚÓû§±¾ÈË£¬Èç¶Ô°æÈ¨ÓÐÒìÒ飬ÇëÁªÏµÓÊÏ䣺xiaomuchong@tal.com - ¸½¼þ 1 : ÔÓͼ°Áó·ÖÓÍÎïÐÔ¹ØÁªÑо¿½øÕ¹.pdf
- ¸½¼þ 2 : ÎÒ¹úʯÓÍÁó·Ö10ÖÖÎïÐÔµÄÔ¤²â·½·¨.pdf
- ¸½¼þ 3 : ʯÓÍÁó·ÖµÄÎïÐÔ¹ØÁª.pdf
- ¸½¼þ 4 : ÎÒ¹úʯÓÍ»ù´¡ÎïÐÔµÄÑо¿£º£¨3£©Ö±ÁóÁó·ÖÓÍ....pdf
- ¸½¼þ 5 : ʯÓÍÁó·ÖµÄÕæ×é·ÖËã·¨£º¡ªÎïÐÔ¼°ÆøÒºÆ½ºâµÄ¿¼²ì.pdf
- ¸½¼þ 6 : Âú×㾫ÁóËþʵʱ·ÂÕæÐèÒªµÄʯÓÍÁó·ÖÎïÐÔ¼ò»¯¹ØÁª.pdf
2014-07-17 11:40:08, 302.4 K
2014-07-17 11:40:18, 295.82 K
2014-07-17 11:40:20, 134.91 K
2014-07-17 11:40:21, 259.51 K
2014-07-17 11:40:22, 136.31 K
2014-07-17 11:40:23, 147.72 K
7Â¥2014-07-17 11:48:57
jackly78
Ìú¸Ëľ³æ (ÖøÃûдÊÖ)
- Ó¦Öú: 11 (СѧÉú)
- ¹ó±ö: 0.041
- ½ð±Ò: 15891.8
- É¢½ð: 34
- ºì»¨: 12
- Ìû×Ó: 2295
- ÔÚÏß: 333.9Сʱ
- ³æºÅ: 47343
- ×¢²á: 2004-06-05
- ÐÔ±ð: GG
- רҵ: ÄÜÔ´»¯¹¤
¡ï
Сľ³æ: ½ð±Ò+0.5, ¸ø¸öºì°ü£¬Ð»Ð»»ØÌû
billbier: »ØÌûÖö¥ 2014-07-17 14:20:29
Сľ³æ: ½ð±Ò+0.5, ¸ø¸öºì°ü£¬Ð»Ð»»ØÌû
billbier: »ØÌûÖö¥ 2014-07-17 14:20:29
8Â¥2014-07-17 11:54:03
billbier
ÈÙÓþ°æÖ÷ (ÖªÃû×÷¼Ò)
- PCEPI: 4
- Ó¦Öú: 231 (´óѧÉú)
- ¹ó±ö: 2.758
- ½ð±Ò: 8785.8
- É¢½ð: 19068
- ºì»¨: 159
- ɳ·¢: 71
- Ìû×Ó: 6996
- ÔÚÏß: 756.2Сʱ
- ³æºÅ: 1678297
- ×¢²á: 2012-03-09
- ÐÔ±ð: GG
- רҵ: ÍØÆËѧ
- ¹ÜϽ: ʯÓÍ»¯¹¤

2Â¥2014-07-15 11:07:22
changle9139
ÈÙÓþ°æÖ÷ (ÎÄ̳¾«Ó¢)
-

ר¼Ò¾Ñé: +299 - PCEPI: 8
- Ó¦Öú: 540 (²©Ê¿)
- ¹ó±ö: 31.945
- ½ð±Ò: 10653.9
- É¢½ð: 96075
- ºì»¨: 867
- ɳ·¢: 233
- Ìû×Ó: 19736
- ÔÚÏß: 3270.9Сʱ
- ³æºÅ: 782666
- ×¢²á: 2009-05-30
- רҵ: ÄÜÔ´»¯¹¤
- ¹ÜϽ: Óлú½»Á÷

3Â¥2014-07-15 11:11:06
billbier
ÈÙÓþ°æÖ÷ (ÖªÃû×÷¼Ò)
- PCEPI: 4
- Ó¦Öú: 231 (´óѧÉú)
- ¹ó±ö: 2.758
- ½ð±Ò: 8785.8
- É¢½ð: 19068
- ºì»¨: 159
- ɳ·¢: 71
- Ìû×Ó: 6996
- ÔÚÏß: 756.2Сʱ
- ³æºÅ: 1678297
- ×¢²á: 2012-03-09
- ÐÔ±ð: GG
- רҵ: ÍØÆËѧ
- ¹ÜϽ: ʯÓÍ»¯¹¤
¡ï ¡ï ¡ï ¡ï ¡ï ¡ï ¡ï ¡ï ¡ï ¡ï
changle9139: ½ð±Ò+10, ÐÁ¿à 2014-07-15 14:49:35
changle9139: ½ð±Ò+10, ÐÁ¿à 2014-07-15 14:49:35
|
ÊÇÓлùÓÚÕ³¶ÈµÄ£¬ÓÐʯ»¯µÄ±ê×¼£¬http://www.doc88.com/p-9572932542858.html¡£¿´µ½µÄÄǸö¹«Ê½Ó¦¸ÃÊǹØÁªÊ½°É ÓлùÓÚÃܶȺͷеãµÄ£ºhttp://www.cnki.net/KCMS/detail/ ... TlFWVlSOGVYMUx1eFk= |

4Â¥2014-07-15 11:32:23
jackly78
Ìú¸Ëľ³æ (ÖøÃûдÊÖ)
- Ó¦Öú: 11 (СѧÉú)
- ¹ó±ö: 0.041
- ½ð±Ò: 15891.8
- É¢½ð: 34
- ºì»¨: 12
- Ìû×Ó: 2295
- ÔÚÏß: 333.9Сʱ
- ³æºÅ: 47343
- ×¢²á: 2004-06-05
- ÐÔ±ð: GG
- רҵ: ÄÜÔ´»¯¹¤
¡ï ¡ï ¡ï ¡ï ¡ï ¡ï ¡ï ¡ï ¡ï ¡ï ¡ï ¡ï ¡ï
Сľ³æ: ½ð±Ò+0.5, ¸ø¸öºì°ü£¬Ð»Ð»»ØÌû
changle9139: ½ð±Ò+10, лл ÇóÎÄÏ×ÌâÄ¿»òÁ´½Ó ¼°²Î¿¼¶«Î÷µÄÁ´½Ó 2014-07-16 10:37:10
billbier: ½ð±Ò+2, ¸Ðл½»Á÷ 2014-07-16 14:22:25
Сľ³æ: ½ð±Ò+0.5, ¸ø¸öºì°ü£¬Ð»Ð»»ØÌû
changle9139: ½ð±Ò+10, лл ÇóÎÄÏ×ÌâÄ¿»òÁ´½Ó ¼°²Î¿¼¶«Î÷µÄÁ´½Ó 2014-07-16 10:37:10
billbier: ½ð±Ò+2, ¸Ðл½»Á÷ 2014-07-16 14:22:25
| ¹ÀË㹫ʽ±È½Ï¶à£¬Äã¿ÉÒÔËÑË÷ÏÂʯÓÍ¿ÆÑ§Ôº·¢±íµÄÎÄÕ£¬Ò²¿ÉÒԲο¼¡¶API Petroleum Refining¡· |
5Â¥2014-07-16 09:12:20
changle9139
ÈÙÓþ°æÖ÷ (ÎÄ̳¾«Ó¢)
-

ר¼Ò¾Ñé: +299 - PCEPI: 8
- Ó¦Öú: 540 (²©Ê¿)
- ¹ó±ö: 31.945
- ½ð±Ò: 10653.9
- É¢½ð: 96075
- ºì»¨: 867
- ɳ·¢: 233
- Ìû×Ó: 19736
- ÔÚÏß: 3270.9Сʱ
- ³æºÅ: 782666
- ×¢²á: 2009-05-30
- רҵ: ÄÜÔ´»¯¹¤
- ¹ÜϽ: Óлú½»Á÷

6Â¥2014-07-16 10:36:44













»Ø¸´´ËÂ¥
6