| 查看: 373 | 回复: 2 | |
| 本帖产生 1 个 博学EPI ,点击这里进行查看 | |
jiangnan8805铁杆木虫 (正式写手)
金虫
|
[求助]
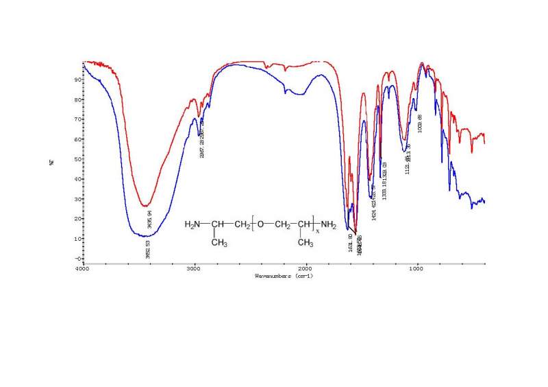
求红外谱图解析,着急
|
![]() |
|
|
|
|
![]() |
|
|
2楼2014-07-10 10:27:49
|
|
![]() |
|
|
3楼2014-07-10 10:28:48
|
|







回复此楼