| 查看: 4236 | 回复: 10 | |||
| 当前只显示满足指定条件的回帖,点击这里查看本话题的所有回帖 | |||
adsszw木虫 (正式写手)
|
[求助]
tafel曲线各个参数的求解 已有2人参与
|
||
|
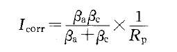
最近做极化曲线的数据处理,发现了一些问题,看论文中的数据有好多很假,求指导!! 看了一下电化学测量方法和腐蚀电化学原理,求tafel斜率时,坐标轴横轴log(i)中电流密度的单位mA cm-2,电势单位mV,此时求得斜率单位为mV或者mV/dec,极化电阻计算公式有两个,如下图 tafel区域的选择,有的说大于50 mv即可,有的说100mv以内,还有100mv以上,不确定 |
» 猜你喜欢
锂离子电池循环寿命衰减过快,求机理分析与改进思路
已经有2人回复
求博导收留
已经有6人回复
物理化学论文润色/翻译怎么收费?
已经有70人回复
CSC & MSCA 博洛尼亚大学能源材料课题组博士/博士后招生|MSCA经费充足、排名优
已经有6人回复
德国Karlsruhe Institute of Technology招收电化学储能及联合培养CSC博士等
已经有20人回复
德国Karlsruhe Institute of Technology招收电化学储能及联合培养CSC博士
已经有23人回复
德国Karlsruhe Institute of Technology招收电化学储能及联合培养CSC博士
已经有1人回复
固态锂金属电池迁移数计算求助
已经有1人回复
荷兰奈梅亨大学赵文博与Galimberti课题组招收理论计算CSC博士 2000 欧元/月+房补
已经有0人回复
26储能博士申请自荐
已经有22人回复
上海交通大学--宁波东方理工大学电池方向博士招生
已经有5人回复
|
本帖内容被屏蔽 |
11楼2021-06-09 21:50:50
binbinitaly
铁杆木虫 (著名写手)
- 应助: 391 (硕士)
- 金币: 6153.6
- 散金: 3
- 红花: 38
- 帖子: 1403
- 在线: 237.4小时
- 虫号: 1086877
- 注册: 2010-09-01
- 性别: GG
- 专业: 金属材料的磨损与磨蚀
【答案】应助回帖
★ ★ ★ ★ ★ ★ ★ ★ ★ ★
感谢参与,应助指数 +1
adsszw: 金币+10, ★★★很有帮助 2014-07-07 18:20:32
感谢参与,应助指数 +1
adsszw: 金币+10, ★★★很有帮助 2014-07-07 18:20:32
|
1.楼主说的两个极化电阻的计算公式本质上就是一个,只不过Tafel斜率的表达方式不同,β为自然对数下求出的Tafel斜率,b为常用对数下求出的Tafel斜率,两者的关系是b=2.303β 2.tafel区的选择一般是在开路电位±100mV之外,但这个值也因体系而异,100mV只是个大致的标准,看Tafel拟合是否准确关键是看所选取的点是否是线性的,这个可以用origin的线性拟合后的方差值来判断,一般大于0.99或者0.98就差不多 |

2楼2014-07-07 18:17:49
adsszw
木虫 (正式写手)
- 应助: 6 (幼儿园)
- 金币: 1170.9
- 散金: 152
- 红花: 1
- 帖子: 323
- 在线: 156.5小时
- 虫号: 867653
- 注册: 2009-10-10
- 性别: GG
- 专业: 电化学
3楼2014-07-07 18:21:47
adsszw
木虫 (正式写手)
- 应助: 6 (幼儿园)
- 金币: 1170.9
- 散金: 152
- 红花: 1
- 帖子: 323
- 在线: 156.5小时
- 虫号: 867653
- 注册: 2009-10-10
- 性别: GG
- 专业: 电化学
4楼2014-07-07 18:24:10













回复此楼