24小时热门版块排行榜    

查看: 2936  |  回复: 11

nagami

木虫 (正式写手)

[交流] 分享一份自己整理的关于数学中拓扑框架的大纲 已有9人参与

我是按照如下的方式做整理的,并做了排版,这些是可以依靠自学来完成的,但是有人指导对于学习代拓和微拓会帮助会很大:
1.拓扑理论
2.拓扑测度理论
3.拓扑代数理论
4.代数拓扑和微分拓扑学
主要的思想就是空间和映射。也就是说整理的资料分别是空间篇,映射篇以及对应的空间-映射定理群。
举一个例子就是Banach不动点定理:
从映射的角度来说:非空完备度量空间中的压缩自映射存在唯一不动点。
从空间的角度来说:非空完备度量空间关于压缩映射是不动点空间。
两则表述不同,而这微妙的不同就能引发一系列新的澎湃思想。
---------------------------------------分割线1--------------------------------------------------
每一类空间都有包含其结构特色的映射类,比如说
1)集合and映射;
2)拓扑空间and连续映射;
3)测度空间and可测映射;
3)一致空间and一致连续映射;
4)拓扑群and连续同态映射;
5)拓扑线性空间and连续线性映射;
6)微分流形and光滑映射;
etc
以下就是空间类的大致框架-
--------------------------------------分割线2--------------------------------------------------
1.拓扑理论
常见的拓扑空间有:积空间、商空间、仿紧空间、紧空间、一致空间、映射空间等等;
1-1.在积集上导入积拓扑就是积空间,从映射的角度看,此拓扑是使得积集到其因子空间的投影映射为连续的最弱拓扑;
    其实在积集上还可考虑箱拓扑,它比积拓扑更强,但是积拓扑有个非常非常非常重要的定理就是Tychonoff积定理;
1-2.商空间就是在商集上导入使得商映射为连续的最强拓扑。
1-3.仿紧空间的技术处理是很特别,它采用开覆盖加细技术。两个结果值得注意,一是度量空间是仿紧T2空间(Stone定理;
    二是仿紧T2空间存在从属于其开覆盖的单位分解,这是后续强有力的工具,无所不在;
1-4.紧空间为我们提供了一种技术手段,拓扑空间的紧扩张,但在后续比如拓扑代数理论遇到倒不是很多,Stone-Cech紧化看看即可;
1-5.一致空间其上的拓扑是由其一致结构导入的。比如完备度量空间和一致连续映射就是配对的,因为后则能保持拓扑外还有完备性。
1-6.映射空间需要特别值得关注,各种函数空间比如Sobolev空间,Holder空间对于偏微分-积分算子方程理论是最基本的。
    映射空间导入拓扑有三种最为著名,分别是点态收敛拓扑,紧开拓扑和一致收敛拓扑。两个关于函数空间的定理一定要细细研
    读下它们的证明:Stone-Weierstrass定理和Arzela-Ascoli定理。
2.拓扑测度理论
常见的测度相关空间是:可测空间、测度空间、度量测度空间、可测映射空间、可积函数空间、测度函数空间等等
加入拓扑测度理论一方面是为积分理论考虑的,另一方面是函数空间理论需求的。我们主要关心度量测度空间,在代数拓扑理论里面,我们会知道流形是局部紧的可度量化空间,仿紧性给出了单位分解的存在性。当与测度结构融合后,有更为丰富的性质和结果出现。换句话说,这是为流形上的微积分理论准备的。
2-1.可测空间就是一个集合配一个Sigma代数,为后续定义测度准备的。关于集值函数有两类非常著名:测度函数和KKM映射。
    前者为了度量集合的大小,给出面积、体积概念的推广;后则是和拓扑线性空间中凸性有关的映射,以后会看到变分不等
    方程的几个著名定理可看成KKM定理的推论。
2-2.测度空间是三元组,可测空间配一个测度函数。测度空间可不单单只包含测度结构,我们可以给它配一个伪度量,借助集合
    的对称差运算。这种想法很正常,拓扑测度之所以叫拓扑测度,就是拓扑和测度的恰当融合。如何做到,正如你所见,利用
    对称差运算和测度函数,我们定义了伪度量。这样就可以考虑可测集的各种逼近问题,而且表达得相当严格。
2-3.度量测度空间进一步加强了这种融合,它的Sigma代数是包含所有开集的最小Sigma代数。为什么要最小,都是有原因的。而且
   我们还会考虑定义在较小集族下的测度函数如何扩张到Sigma代数等一系列技术性问题。这些问题会按照逻辑一步步演绎,逐个
   解决,不是小孩子过家家那样敷衍了事,数学里面再小的问题也是问题,绝不含糊。
2-4.可测映射空间:为了定义可测映射自然需要可测空间作为铺垫,不过可测函数空间对于我们的目的(PDE的定性理论)才是重要的。
   按照我们惯用的思路,还需在其导入适当的拓扑,同时也要结合测度结构带来的新内容。因此我们会说几乎处处点态收敛,几乎处处
   一致收敛。注意几乎处处是测度概念,点态收敛和一致收敛是拓扑概念。
   进一步,把可测空间换成测度空间,还会增加依测度收敛。当用测度定义了积分运算后,会出现Lp积分范数的收敛。需要额外注意的
   是,不是可测函数都是可积函数。只要按照规则来办事就不会出问题,这套理论保证托托的。
2-5.可积函数空间,这是偏微分-积分算子方程理论最重要的背景空间,在拓扑代数理论里面,它是Banach空间,代数结构是从实值中继
   承过来的。
2-6.测度函数空间:它提供了一种为连续函数空间的对偶空间具体化的方案。思路来源于积分运算的线性性,就是一种配对。不过我们需
    要限制下,比如测度只限于Radon测度等等,完了完善提法。
3.拓扑代数理论
这是我们的第二主角,当然第一是代数拓扑和微分拓扑。
常见的拓扑代数空间是:拓扑群,拓扑线性空间、局部凸拓扑线性空间、Frechet空间、Banach空间、Hilbert空间等等
3-1.拓扑群是特殊的一致空间,可导入一致拓扑。进一步,当可度量化后,我们把它看成度量测度空间建立积分理论。综合起来就是,
    在拓扑上它有一致结构导入的一致拓扑,可考虑完备性。这个一致拓扑如果可度化(大部分遇到的都可以),它还是度量测度空间,
    可建立积分理论。在应用上还会遇到局部紧拓扑群,比如一般线性群GL(n)。所以理论是层层第进的,进展似乎还比较顺利。
3-2.拓扑线性空间是Abel拓扑群+与域的数乘运算。所以拓扑群的结论自然能继承过来。但是一般的拓扑线性空间不具备非常丰富的线性
    泛函数(原因是这样无法定义弱拓扑,强拓扑下紧集太少,不利于理论展开)。因此就应用来说局部凸拓扑线性空间才是最重要的,
    比如广义函数论就是建立在此的基础上。
3-3. 局部凸拓扑线性空间就是有局部基的拓扑线性空间,天生就有很非富的线性泛函数。数学结构丰富,是泛函分析研究的主要基本空间。
3-4.Frechet空间、Banach空间、Hilbert空间
   不在此多述这些空间理论,对于那些过来人,这些空间是相当熟悉的。我们从拓扑空间到这些空间一步步第进,这就是公理化结构数学
   的框架。以后的理论主要在Banach空间展开,偏微分-积分算子方程理论则主要在Hilbert空间展开。但对于非线性问题,只有代数拓扑和
   微分拓扑的工具才能真正意义上较好的解决这些问题。
----------------------------------------------我是分割线3-------------------------------------------
4.代数拓扑和微分拓扑学
以下的书很值得拜读,如果有精力我一定会逐个通读的,可惜岁月不饶人,尤其对于上班族来说更是如此。它们分别是:
1.FixedPoint Theory (A.Granas, J.Dugundji)
2.Introductionto Topological Manifolds (Lie)
3.Introductionto Smooth Manifolds(Lie)
4.DifferentialTopology(M.W.Hirsch)
5.Lectureson Algebraic Topology(A.Dold)
6.Switzer,Algebraic Topology- Homotopy and Homology, Springer.2002
7.DifferentialForms in Algebraic Topology(R.Bott,W.Tu)
4-1.不动点理论
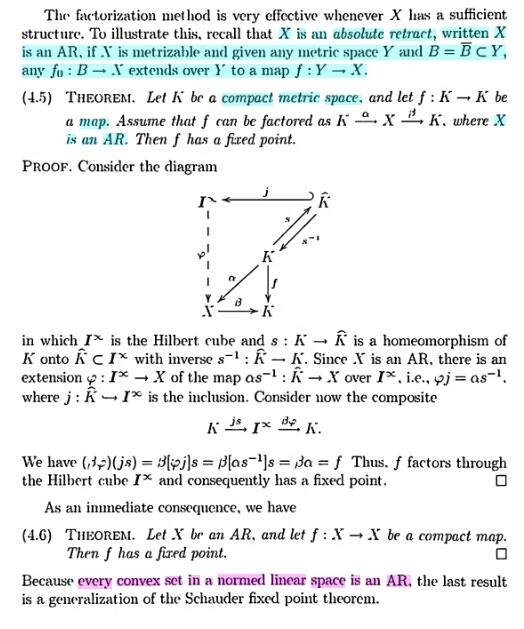
Fixed Point Theory (A.Granas,J.Dugundji)这本书目前本人只看了第0章-第2章,第3章之后开始大量注入同调理论的内容,Brouwer度和Leray-Schauder度对于PDE理论是重要的,因此这本书按正常来说需要第0章-第5章,大概350页的内容。
这里有个第0章的著名定理,这是拓扑和拓扑代数理论结合的一个例子,如果能大致明白这个,估计第0章到第3章顺利阅读没有实质性困难:
1)首先空间的性质又映射的连续扩张来定义
2)点集拓扑里的嵌入Hilbert cube的结果应用得相当得体。
3)拓扑代数理论进一步丰富了结果,比如这里Banach空间中的凸集是AR的。
4-2.流形理论
流形本身是个拓扑空间,且局部同胚于Rn或者Banach空间。前者叫有限维流形,后则叫无限维流形。而且流形是可度量化的,是一个度量测度空间,可引入积分理论。此外,流形可在局部引入拓扑代数结构。综合起来,流形是数学最基本的研究目标,一点没错。结构丰富。在物理上研究微分流形,可谓物理的基石。
4-3.微分形式
和不动点理论一样是一个伟大的理论,我的短期目标就是要看懂DifferentialForms in Algebraic Topology(R.Bott,W.Tu),有点惋惜。
4-4.同调与同论
4-5.李群与齐性空间
4-6.低维拓扑
4-7.配边理论
4-8.嵌入,浸入及扭结理论
------------------------------------------------------------------------
这些都是前段时间写的,整理能让人更明白一些。。因为我是一个耐不住寂寞的人,曾想找一些网友一起学习,
但最后都失败了。有时我有兴致,别人不一定有;当别人有时,你可能反感继续学了。而且学习确实是一个人的事情,
耐得住寂寞你才能学到更多。如果将来有幸代数拓扑和微分拓扑学得不错,可再考虑把全部整理一遍。估计要多年以后了,
或许到时也是物是人非。

分享一份自己整理的关于数学中拓扑框架的大纲
不动点的例子

文/Nagami

日期:10/29/2015

如下是最开始拟的大纲,代数拓扑下的PDEs理论最具软分析特点,比如不动点方法。此外,数值理论作为辅助,随机理论是对随机偏微分方程的包括。

数学框架

大致主要学习的书籍是:

点集拓扑:儿玉之宏的《拓扑空间论》、J.L.凯莱的《一般拓扑学》

泛函分析:H.Brezis的《Functional Analysis, Sobolev Spaces and PDEs》

测度论:Doob的《Measure Theory》

分布理论:L.施瓦兹的《广义函数论》

代数拓扑:A.Granas和J.Dugundji的《Fixed Point Theory》 ,etc

这些书思想很统一,数学语言表述一致,可循序渐进地学习。

需说明的是:关于点集拓扑部分,是不需要任何微积分基础的,从集合论的术语开始,微分和积分是有极限运算之后才定义,极限运算是基于拓扑的构造,不过这两个概念可以分得很开,微分运算一般在Banach空间定义(需要线性度量结构),积分在测度空间展开。

下面是一些主要概念的概括:
1.拓扑理论
2.拓扑测度理论
3.拓扑代数理论
4.代数拓扑和微分拓扑学
主要的思想就是空间和映射。
一个例子:Banach不动点定理:
从映射的角度来说:非空完备度量空间中的压缩自映射存在唯一不动点。
从空间的角度来说:非空完备度量空间关于压缩映射是不动点空间。
两则表述的对象不同,结论一样。
--------------------------------分割线1-------------------------------------
每一类空间都有包含其结构特色的映射类,比如说
1)集合and映射;
2)拓扑空间and连续映射;
3)测度空间and可测映射;
3)一致空间and一致连续映射;
4)拓扑群and连续同态映射;
5)拓扑线性空间and连续线性映射;
6)微分流形and光滑映射;
etc
以下就是空间类的大致框架-
--------------------------------分割线2-------------------------------------
1.拓扑理论
常见的拓扑空间有:积空间、商空间、仿紧空间、紧空间、一致空间、映射空间等;
1-1.在积集上导入积拓扑就是积空间,从映射的角度看,此拓扑是使得积集到其因子空间的投影映射为连续的最弱拓扑(数学的概念总是寻求某种最优);
其实在积集上还可考虑箱拓扑,它比积拓扑更强,但是积拓扑有个非常重要的定理就是Tychonoff积定理;
1-2.商空间就是在商集上导入使得商映射为连续的最强拓扑。
1-3.仿紧空间的技术处理很特别,它采用开覆盖加细技术。两个结果:
一、度量空间是仿紧T2空间(Stone定理);
二、仿紧T2空间存在从属于其开覆盖的单位分解(构造性硬分析);
从上可知,拓扑流形的一般定义,存在单位分解,用于对于流形上的积分理论。
1-4.紧空间为我们提供了一种技术手段,拓扑空间的紧扩张:比如Stone-Cech紧化;
紧性与完备性一样,常常用于软分析证明。
1-5.一致空间其上的拓扑是由其一致结构导入的。比如完备度量空间和一致连续映射就是配对的,除了保持拓扑性质,还有度量性质,比如全有界、Cauchy收敛列,etc。
1-6.映射空间需要特别值得关注,各种函数空间比如Sobolev空间,Holder空间,是算子方程研究的基本空间。
映射空间导入拓扑有三种最为著名,分别是点态收敛拓扑,紧开拓扑和一致收敛拓扑。两个关于函数空间定理,极为常用:
Stone-Weierstrass定理和Arzela-Ascoli定理。
注:Stone-Weierstrass定理可说明三角函数系的基特性,与Fourier级数不同,前者是Banach空间下的,后者是Hilbert空间下的。
Arzela-Ascoli定理可用于证明积分算子在某些空间对下具有紧性,紧线性算子不具有有界逆,故偏微分方程反演问题(第一类积分方程)常常是本质病态的。
2.拓扑测度理论
常见的测度相关空间是:可测空间、测度空间、度量测度空间、可测映射空间、可积函数空间、测度函数空间等等
加入拓扑测度理论一方面是为积分理论考虑的,另一方面是函数空间理论需求的。我们主要关心度量测度空间,在代数拓扑理论里面,流形是局部紧的可度量化空间,仿紧性给出了单位分解的存在性。当与测度结构融合后,有更为丰富的性质出现。换句话说,这是为流形上的微积分理论准备的。
2-1.可测空间就是一个集合配一个Sigma代数,为后续定义测度准备。关于集值函数有两类非常著名:测度函数和KKM映射。
前者为了度量集合的大小,给出面积、体积概念的推广;后则是和拓扑线性空间中凸性有关的映射,会看到变分不等方程的几个著名定理与KKM定理关系极为密切。
2-2.测度空间是三元组,可测空间配一个测度函数。测度空间可以给它配一个伪度量,借助集合的对称差运算。这种想法很正常,拓扑测度之所以叫拓扑测度,就是拓扑和测度的恰当融合。如何做到,正如你所见,利用对称差运算和测度函数,定义了伪度量。这样就可以考虑可测集的各种逼近问题(度量刻画了拓扑),与拓扑融合的前奏。
2-3.度量测度空间进一步加强了这种融合,它的Sigma代数是包含所有开集的最小Sigma代数。为什么要最小,是有原因的。而且还会考虑定义在较小集族下的测度函数如何扩张到Sigma代数等一系列技术性问题。这些问题会按照逻辑一步步演绎,阶梯式给出一系列定理群。
2-4.可测映射空间:为了定义可测映射自然需要可测空间作为铺垫,可测函数空间对于PDE的定性理论是相当重要的。按照惯用的思路,还需在其导入适当的拓扑,同时也要结合测度结构带来的新内容。因此会说几乎处处点态收敛,几乎处处一致收敛。注意几乎处处是测度概念,点态收敛和一致收敛是拓扑概念。
进一步,把可测空间换成测度空间,还会增加依测度收敛。当用测度定义了积分运算后,会出现Lp积分范数的收敛。需要额外注意的是,不是可测函数都是可积函数。
2-5.可积函数空间,这是偏微分-积分算子方程理论最重要的背景空间,在拓扑代数理论里面,它是Banach空间。PDEs理论的基本空间之一。
2-6.测度函数空间:它提供了一种为连续函数空间的对偶空间具体化的方案。思路来源于积分运算的线性性,就是一种配对。不过我们需要限制下,比如测度只限于Radon测度等等。配对思想即为重要,比如Stokes高维积分公式。
3.拓扑代数理论
常见的拓扑代数空间是:拓扑群,拓扑线性空间、局部凸拓扑线性空间、Frechet空间、Banach空间、Hilbert空间等
3-1.拓扑群是特殊的一致空间,可导入一致拓扑。进一步,当可度量化后,我们把它看成度量测度空间建立积分理论。综合起来,在拓扑上它有一致结构导入的一致拓扑,可考虑完备性。这个一致拓扑如果可度化(大部分遇到的都如此),它还是度量测度空间,可建立积分理论。在应用上还会遇到局部紧拓扑群,比如一般线性群GL(n),理论是层层第进,体现公理化思想。
3-2.拓扑线性空间是Abel拓扑群结合域的数乘运算。因此拓扑群的结论自然能继承过来。但是一般的拓扑线性空间不具备非常丰富的线性泛函数(原因是这样无法定义弱拓扑,强拓扑下紧集太少,不利于理论展开)。就应用来说局部凸拓扑线性空间才是最重要的,比如广义函数论就是建立在此的基础上。
3-3. 局部凸拓扑线性空间就是有局部基的拓扑线性空间,有很非富的线性泛函数,是泛函分析研究的主要基本空间。
3-4.Frechet空间、Banach空间、Hilbert空间
分析学最为重要的结论基于这些空间。以后的理论主要在Banach空间展开,偏微分-积分算子方程理论则主要在Hilbert空间展开。
------------------------------------我是分割线3-----------------------------
4.代数拓扑和微分拓扑学
著名书籍:
1.《Fixed Point Theory》 (A.Granas, J.Dugundji)
2.《Introduction to Topological Manifolds》 (Lie)
3.《Introduction to Smooth Manifolds》(Lie)
4.《Differential Topology》(M.W.Hirsch)
5.《Lectureson Algebraic Topology》(A.Dold)
6.Switzer,《Algebraic Topology- Homotopy and Homology》, Springer.2002
7.《DifferentialForms in Algebraic Topology》(R.Bott,W.Tu)
4-1.不动点理论
Brouwer度和Leray-Schauder度对于PDE理论是重要的(其他理论易如此)。
《Fixed Point Theory》是本人结果数学表述最为流畅的一本书,结尾的图片给出了一个第0章的著名结果,是拓扑和拓扑代数理论结合的一个典范例子,应该感到震惊,谁会想到点集拓扑除了提供了现代数学的基本术语,技巧性的应用体现无疑:
1)首先空间的性质有映射的连续扩张来定义
2)点集拓扑里的嵌入Hilbert Cube结论应用得相当巧妙。
3)拓扑代数理论进一步丰富了结果,比如这里Banach空间中的凸集是AR的。
4-2.流形理论
流形本身是个拓扑空间,且局部同胚于Rn或者Banach空间(特指无限维)。前者叫有限维流形,后则叫无限维流形。而且流形是可度量化的,是一个度量测度空间,可引入积分理论。此外,流形可在局部引入拓扑代数结构。流形是数理物理学最基本的空间架构。
4-3.微分形式
和不动点理论一样是一个伟大的理论,对数理物理学比如Hamilton力学、电磁场等基本规律可给出根本性概括。
4-4.同调与同论
4-5.李群与齐性空间
4-6.低维拓扑
4-7.配边理论
4-8.嵌入,浸入及扭结理论

[ Last edited by nagami on 2016-2-14 at 12:59 ]
回复此楼

» 收录本帖的淘帖专辑推荐

资源收藏 学习感悟

» 猜你喜欢

女靠衣装;男靠金装
已阅   回复此楼   关注TA 给TA发消息 送TA红花 TA的回帖
2楼2014-09-28 15:24:37
已阅   回复此楼   关注TA 给TA发消息 送TA红花 TA的回帖

数学本科生

金虫 (小有名气)

小学生

好东西,收藏一个。
太痛苦……
3楼2014-11-30 06:21:51
已阅   回复此楼   关注TA 给TA发消息 送TA红花 TA的回帖

bjtuych

金虫 (正式写手)

支持楼主!
4楼2014-12-17 16:39:53
已阅   回复此楼   关注TA 给TA发消息 送TA红花 TA的回帖

佩love

金虫 (小有名气)

楼主威威  佩服
5楼2016-02-14 08:57:01
已阅   回复此楼   关注TA 给TA发消息 送TA红花 TA的回帖

maojun1998

银虫 (正式写手)


小木虫: 金币+0.5, 给个红包,谢谢回帖
写得挺好的,威武…
wirmüssenwissen.wirwerdeneswissen.
6楼2016-02-14 11:27:09
已阅   回复此楼   关注TA 给TA发消息 送TA红花 TA的回帖

sskkyy

银虫 (正式写手)


小木虫: 金币+0.5, 给个红包,谢谢回帖
叮咚捏有一本书叫代数拓扑与微分拓扑六十年,那里面从历史的角度讲了拓扑学的发现,很值得推荐。你这里更像是知识点的罗列,零散。

发自小木虫Android客户端
7楼2016-02-14 12:16:33
已阅   回复此楼   关注TA 给TA发消息 送TA红花 TA的回帖
8楼2016-02-14 16:28:41
已阅   回复此楼   关注TA 给TA发消息 送TA红花 TA的回帖

连续统假说i

木虫 (正式写手)


小木虫: 金币+0.5, 给个红包,谢谢回帖
精华贴,您可以考虑拓展内容整理成册.

[ 发自手机版 http://muchong.com/3g ]
数学与吾等同在!
9楼2016-02-18 12:07:19
已阅   回复此楼   关注TA 给TA发消息 送TA红花 TA的回帖

nagami

木虫 (正式写手)

引用回帖:
9楼: Originally posted by 连续统假说i at 2016-02-18 12:07:19
精华贴,您可以考虑拓展内容整理成册.

3年前想了解这块时写的,现在基本不接触了
女靠衣装;男靠金装
10楼2016-02-19 11:15:28
已阅   回复此楼   关注TA 给TA发消息 送TA红花 TA的回帖
相关版块跳转 我要订阅楼主 nagami 的主题更新
普通表情 高级回复 (可上传附件)
最具人气热帖推荐 [查看全部] 作者 回/看 最后发表
[考研] 招收调剂硕士 +4 lidianxing 2026-03-19 10/500 2026-03-19 16:05 by 余麟余
[考研] 324分 085600材料化工求调剂 +3 llllkkkhh 2026-03-18 3/150 2026-03-19 14:22 by houyaoxu
[考研] 一志愿985,本科211,0817化学工程与技术319求调剂 +10 Liwangman 2026-03-15 10/500 2026-03-19 10:25 by 无际的草原
[考研] 085410人工智能专硕317求调剂(0854都可以) +3 xbxudjdn 2026-03-18 3/150 2026-03-18 22:14 by zhq0425
[考研] 328求调剂,英语六级551,有科研经历 +3 生物工程调剂 2026-03-17 7/350 2026-03-18 20:41 by Wangjingyue
[考研] 295求调剂 +3 一志愿京区211 2026-03-18 5/250 2026-03-18 17:03 by zhaoqian0518
[考研] 化学工程321分求调剂 +15 大米饭! 2026-03-15 18/900 2026-03-18 14:52 by haxia
[考研] 材料专硕306英一数二 +10 z1z2z3879 2026-03-16 13/650 2026-03-18 14:20 by 007_lilei
[考研] 277调剂 +5 自由煎饼果子 2026-03-16 6/300 2026-03-17 19:26 by 李leezz
[硕博家园] 湖北工业大学 生命科学与健康学院-课题组招收2026级食品/生物方向硕士 +3 1喜春8 2026-03-17 5/250 2026-03-17 17:18 by ber川cool子
[考研] 考研化学学硕调剂,一志愿985 +4 张vvvv 2026-03-15 6/300 2026-03-17 17:15 by ruiyingmiao
[考研] 308求调剂 +4 是Lupa啊 2026-03-16 4/200 2026-03-17 17:12 by ruiyingmiao
[考研] 211本,11408一志愿中科院277分,曾在中科院自动化所实习 +6 Losir 2026-03-12 7/350 2026-03-17 12:09 by danranxie
[考研] 302求调剂 +4 小贾同学123 2026-03-15 8/400 2026-03-17 10:33 by 小贾同学123
[考研] 药学383 求调剂 +3 药学chy 2026-03-15 4/200 2026-03-16 20:51 by 元子^0^
[考研] 机械专硕325,寻找调剂院校 +3 y9999 2026-03-15 5/250 2026-03-16 19:58 by y9999
[考研] 085600材料与化工 求调剂 +13 enenenhui 2026-03-13 14/700 2026-03-16 15:19 by 了了了了。。
[考研] 0703化学调剂 290分有科研经历,论文在投 +7 腻腻gk 2026-03-14 7/350 2026-03-16 10:12 by houyaoxu
[考研] 26考研一志愿中国石油大学(华东)305分求调剂 +3 嘉年新程 2026-03-15 3/150 2026-03-15 13:58 by 哈哈哈哈嘿嘿嘿
[考研] 求材料调剂 085600英一数二总分302 前三科235 精通机器学习 一志愿哈工大 +4 林yaxin 2026-03-12 4/200 2026-03-13 22:04 by 星空星月
信息提示
请填处理意见