24小时热门版块排行榜    

北京石油化工学院2026年研究生招生接收调剂公告
查看: 297  |  回复: 0

zhangle张乐

超级版主

优秀!!有木有!!!优秀!!有木有!!!优秀!!有木有!!!优秀!!有木有!!!

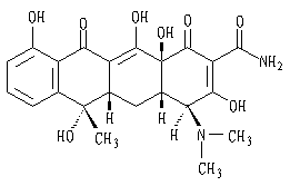
[求助] 四环素类改性

请问四环素上的酰胺基在碱性催化下形成羧酸盐的产率多少?还有其他反应条件需要控制的吗?

四环素类改性
四环素.gif
回复此楼
已阅   回复此楼   关注TA 给TA发消息 送TA红花 TA的回帖

智能机器人

Robot (super robot)

我们都爱小木虫

相关版块跳转 我要订阅楼主 zhangle张乐 的主题更新
最具人气热帖推荐 [查看全部] 作者 回/看 最后发表
[考研] 346求调剂 一志愿070303有机化学 +11 萝卜炖青菜 2026-03-28 12/600 2026-03-31 17:54 by xhai2011
[考研] 318求调剂 +10 陈晨79 2026-03-30 10/500 2026-03-31 17:37 by 544594351
[考研] 物理学调剂 +4 小羊36 2026-03-30 4/200 2026-03-31 16:16 by lishahe
[考研] 085601 材料工程 313分 求调剂 +6 Ong3 2026-03-27 6/300 2026-03-31 15:18 by yanflower7133
[考研] 英一数一总分334求调剂 +4 陈阳坤 2026-03-31 4/200 2026-03-31 14:22 by 记事本2026
[考研] 272求调剂,接受跨专业调剂! +3 闲鱼卢 2026-03-31 3/150 2026-03-31 13:00 by 替代品000
[考研] 求调剂 +4 图鉴212 2026-03-30 4/200 2026-03-31 10:20 by cal0306
[考研] 求调剂 +4 研s. 2026-03-25 4/200 2026-03-31 10:05 by fmesaito
[有机交流] 甲基亚磺磺酸钠和甲基磺酸酯反应机理 10+3 kaobao456 2026-03-29 4/200 2026-03-30 23:16 by nBu锂
[考研] 304材料求调剂 +5 钟llll 2026-03-26 5/250 2026-03-30 19:37 by 源_2020
[考研] 0703化学/290求调剂/本科经历丰富/工科也可 +13 丹青奶盖 2026-03-26 15/750 2026-03-30 12:35 by fangnagu
[考研] 一志愿双一流机械285分求调剂 +4 幸运的三木 2026-03-29 5/250 2026-03-29 14:49 by Miko19
[考研] 332求92调剂 +8 蕉蕉123 2026-03-28 8/400 2026-03-29 10:46 by 周梓丹
[考研] 调剂考研 +3 王杰一 2026-03-29 3/150 2026-03-29 08:09 by fmesaito
[考研] 286求调剂 +12 PolarBear11 2026-03-26 12/600 2026-03-28 12:14 by zllcz
[考研] 266求调剂 +11 阳阳哇塞 2026-03-27 12/600 2026-03-27 17:56 by yu221
[考研] 考研调剂 +9 小蜡新笔 2026-03-26 9/450 2026-03-27 11:10 by 不吃魚的貓
[考研] 324求调剂 +5 hanamiko 2026-03-26 5/250 2026-03-27 10:33 by wangjy2002
[考研] 341求调剂 +7 青柠檬1 2026-03-26 7/350 2026-03-27 00:19 by wxiongid
[考研] 打过很多竞赛,085406控制工程300分,求调剂 +3 askeladz 2026-03-26 3/150 2026-03-26 09:08 by 给你你注意休息
信息提示
请填处理意见