| ²é¿´: 11123 | »Ø¸´: 11 | ||
zqns10000½ð³æ (СÓÐÃûÆø)
|
[½»Á÷]
¹ØÓÚ×ÜÎÂÓë¾²ÎµĹØÏµÎÊÌâ
|
» ±¾Ö÷ÌâÏà¹Ø¼ÛÖµÌùÍÆ¼ö£¬¶ÔÄúͬÑùÓаïÖú:
FLUENTÁ÷¹ÌñîºÏζÈÒÔ¼°±ÚÃæÎ¶ÈÇóÖú
ÒѾÓÐ15È˻ظ´
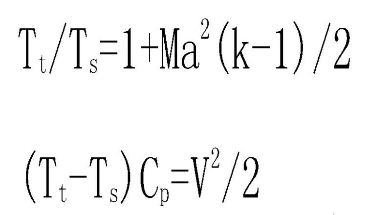
¡¾ÇóÖú¡¿total temperatureºÍstatic temeperatureÓÐÊ²Ã´Çø±ð£¿
ÒѾÓÐ3È˻ظ´

zqns10000(½ð±Ò+1): лл²ÎÓë
Ëï?ª730: ½ð±Ò-1, Ó¦ÖúÖ¸Êý-1, Êսɽð±Ò 2014-07-02 09:14:02
Ëï?ª730: ½ð±Ò-1, Ó¦ÖúÖ¸Êý-1, Êսɽð±Ò 2014-07-02 09:14:02
| 7 |
2Â¥2014-06-26 20:30:06
zqns10000(½ð±Ò+1): лл²ÎÓë
Ëï?ª730: ½ð±Ò-1, Ó¦ÖúÖ¸Êý-1, Êսɽð±Ò 2014-07-02 09:14:17
Ëï?ª730: ½ð±Ò-1, Ó¦ÖúÖ¸Êý-1, Êսɽð±Ò 2014-07-02 09:14:17
|
¡£ [ ·¢×ÔÊÖ»ú°æ http://muchong.com/3g ] |
3Â¥2014-06-26 20:30:46
![]() |
4Â¥2014-06-26 20:55:18
![]() |
5Â¥2014-06-26 21:00:32
2979529
ÖÁ×ðľ³æ (Ö°Òµ×÷¼Ò)
- Ó¦Öú: 53 (³õÖÐÉú)
- ½ð±Ò: 33029.2
- É¢½ð: 510
- ºì»¨: 4
- Ìû×Ó: 4693
- ÔÚÏß: 152.1Сʱ
- ³æºÅ: 3284258
- ×¢²á: 2014-06-20
- ÐÔ±ð: GG
- רҵ: ÓлúºÏ³É
6Â¥2014-06-26 21:40:42
heu-mjc
½ð³æ (СÓÐÃûÆø)
- Ó¦Öú: 1 (Ó×¶ùÔ°)
- ½ð±Ò: 5256
- ºì»¨: 3
- Ìû×Ó: 102
- ÔÚÏß: 77.3Сʱ
- ³æºÅ: 1830326
- ×¢²á: 2012-05-22
- ÐÔ±ð: GG
- רҵ: Á÷ÌåÁ¦Ñ§
7Â¥2014-06-27 12:33:01
zqns10000
½ð³æ (СÓÐÃûÆø)
- Ó¦Öú: 3 (Ó×¶ùÔ°)
- ½ð±Ò: 1066
- É¢½ð: 7
- Ìû×Ó: 157
- ÔÚÏß: 144.9Сʱ
- ³æºÅ: 3048742
- ×¢²á: 2014-03-13
- ÐÔ±ð: GG
- רҵ: »úе¶¯Á¦Ñ§

8Â¥2014-06-28 02:00:12
zqns10000
½ð³æ (СÓÐÃûÆø)
- Ó¦Öú: 3 (Ó×¶ùÔ°)
- ½ð±Ò: 1066
- É¢½ð: 7
- Ìû×Ó: 157
- ÔÚÏß: 144.9Сʱ
- ³æºÅ: 3048742
- ×¢²á: 2014-03-13
- ÐÔ±ð: GG
- רҵ: »úе¶¯Á¦Ñ§

9Â¥2014-06-28 02:15:50
°¢Q~~
ÖÁ×ðľ³æ (ÎÄ̳¾«Ó¢)
- Ó¦Öú: 77 (³õÖÐÉú)
- ½ð±Ò: 33343.6
- ºì»¨: 107
- Ìû×Ó: 36186
- ÔÚÏß: 1028.1Сʱ
- ³æºÅ: 3237212
- ×¢²á: 2014-05-27
- ÐÔ±ð: MM
- רҵ: ÓîÖæÑ§

10Â¥2014-06-28 07:08:48













»Ø¸´´ËÂ¥
zqns10000