| 查看: 406 | 回复: 1 | ||
[求助]
Quantum dot-in-a-well SOA 速率方程怎么解?
|
|
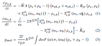
本人研二,刚接触半导体放大器这一块。请教各位大神以下方程用什么方法解。 求解量:Pe , Ph , We,Wh ,Ne,Nh, 最好有程序,若没有,只给方法也可以,我自己编程。 截图00.png 截图01.png |
» 猜你喜欢
一志愿0817化学工程与技术,求调剂
已经有8人回复
271分求调剂学校
已经有3人回复
285求调剂
已经有4人回复
生物学308分求调剂(一志愿华东师大)
已经有7人回复
296材料专硕求调剂
已经有18人回复
材料与化工306分找调剂
已经有18人回复
302求调剂
已经有9人回复
一志愿北京科技大学材料工程085601,求调剂
已经有11人回复
283分材料与化工求调剂
已经有19人回复
326求调剂
已经有8人回复
jhgfgbjjnhhg
金虫 (小有名气)
- 应助: 0 (幼儿园)
- 金币: 1205.9
- 红花: 1
- 帖子: 122
- 在线: 203.5小时
- 虫号: 3387527
- 注册: 2014-08-29
- 专业: 金属材料
2楼2017-11-19 14:33:01














回复此楼