| 查看: 1259 | 回复: 2 | |||
[求助]
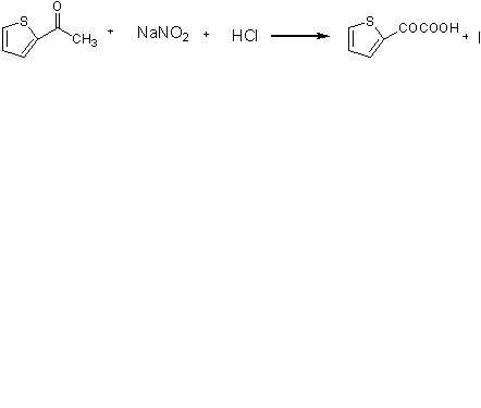
噻吩乙醛酸生产中的一个方程式 已有1人参与
|
|||
|
|
|||
橡胶人荣誉版主 (文坛精英)
|
|||
|
2楼2014-06-16 13:48:23
|
|
||
|
3楼2014-06-16 14:22:14
|
|














回复此楼
5